cec2013(python):五种算法(RFO、GWO、DBO、HHO、SSA)求解cec2013

作品简介

一、五种算法介绍

(1)红狐优化算法(Red fox optimization,RFO)https://mbd.pub/o/bread/ZJaZlZtu

(2)灰狼优化算法(Grey Wolf Optimizer,GWO)python:灰狼优化算法(Grey Wolf Optimizer,GWO)求解23个基本测试函数 (mbd.pub)

(3)蜣螂优化算法(Dung beetle optimizer,DBO)python:蜣螂优化算法(Dung beetle optimizer,DBO)求解23个基本函数 (mbd.pub)

(4)哈里斯鹰优化算法(Harris Hawks Optimization,HHO)https://mbd.pub/o/bread/ZJaZk5py

(5)麻雀搜索算法(sparrow search algorithm,SSA)https://mbd.pub/o/bread/ZJaYm5lq

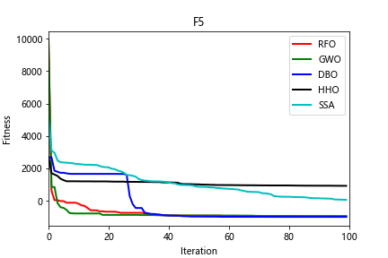
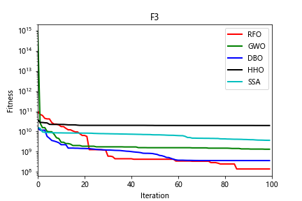
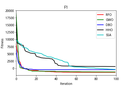
二、五种算法求解cec2013

cec2013函数简介

CEC 2013 Special Session on Real-Parameter Optimization中共有28个测试函数维度可选择为10/30/50/100。

每个测试函数的详细信息如下表所示:

参考文献:[1] Liang J J , Qu B Y , Suganthan P N , et al. Problem Definitions and Evaluation Criteria for the CEC 2013 Special Session on Real-Parameter Optimization. 2013.

部分代码

from CEC2013.cec2013 import *
from RFO import RFO
from GWO import GWO
from DBO import DBO
from HHO import HHO
from SSA import SSA
import matplotlib.pyplot as plt
plt.rcParams['font.sans-serif']=['Microsoft YaHei']
#主程序
#主程序
function_name =6 #测试函数1-28
SearchAgents_no = 50#种群大小
Max_iter = 100#迭代次数
dim=10#维度 10/30/50/100
lb=-100*np.ones(dim)#下限
ub=100*np.ones(dim)#上限
cec_functions = cec2013(dim,function_name)
fobj=cec_functions.func#目标函数
BestX1,BestF1,curve1 = RFO(SearchAgents_no, Max_iter,lb,ub,dim,fobj)#问题求解
BestX2,BestF2,curve2 = GWO(SearchAgents_no, Max_iter,lb,ub,dim,fobj)#问题求解
BestX3,BestF3,curve3 = DBO(SearchAgents_no, Max_iter,lb,ub,dim,fobj)#问题求解
BestX4,BestF4,curve4 = HHO(SearchAgents_no, Max_iter,lb,ub,dim,fobj)#问题求解
BestX5,BestF5,curve5 = SSA(SearchAgents_no, Max_iter,lb,ub,dim,fobj)#问题求解


#画收敛曲线图
Labelstr=['RFO','GWO','DBO','HHO','SSA']
Colorstr=['r','g','b','k','c']
if BestF1>0:
    plt.semilogy(curve1,color=Colorstr[0],linewidth=2,label=Labelstr[0])
    plt.semilogy(curve2,color=Colorstr[1],linewidth=2,label=Labelstr[1])
    plt.semilogy(curve3,color=Colorstr[2],linewidth=2,label=Labelstr[2])
    plt.semilogy(curve4,color=Colorstr[3],linewidth=2,label=Labelstr[3])
    plt.semilogy(curve5,color=Colorstr[4],linewidth=2,label=Labelstr[4])
else:
    plt.plot(curve1,color=Colorstr[0],linewidth=2,label=Labelstr[0])
    plt.plot(curve2,color=Colorstr[1],linewidth=2,label=Labelstr[1])
    plt.plot(curve3,color=Colorstr[2],linewidth=2,label=Labelstr[2])
    plt.plot(curve4,color=Colorstr[3],linewidth=2,label=Labelstr[3])
    plt.plot(curve5,color=Colorstr[4],linewidth=2,label=Labelstr[4])


plt.xlabel("Iteration")
plt.ylabel("Fitness")
plt.xlim(0,Max_iter)
plt.title("F"+str(function_name))
plt.legend()
plt.savefig(str(function_name)+'.png')
plt.show()
#

部分结果







三、参考代码

文件夹内包含五种算法求解cec2013完整python代码,点击main.py即可运行


创作时间: