Python:RFO、GWO、DBO、HHO、SSA求解23个测试函数

作品简介

一、五种算法介绍

(1)红狐优化算法(Red fox optimization,RFO)https://mbd.pub/o/bread/ZJaZlZtu

(2)灰狼优化算法(Grey Wolf Optimizer,GWO)python:灰狼优化算法(Grey Wolf Optimizer,GWO)求解23个基本测试函数 (mbd.pub)

(3)蜣螂优化算法(Dung beetle optimizer,DBO)python:蜣螂优化算法(Dung beetle optimizer,DBO)求解23个基本函数 (mbd.pub)

(4)哈里斯鹰优化算法(Harris Hawks Optimization,HHO)https://mbd.pub/o/bread/ZJaZk5py

(5)麻雀搜索算法(sparrow search algorithm,SSA)https://mbd.pub/o/bread/ZJaYm5lq

二、五种算法求解23个测试函数

23个基本函数介绍

测试集:23组基本测试函数简介及图像(提供python代码)_IT猿手的博客-CSDN博客

部分代码:

from FunInfo import Get_Functions_details
from RFO import RFO
from GWO import GWO
from DBO import DBO
from HHO import HHO
from SSA import SSA
import matplotlib.pyplot as plt
plt.rcParams['font.sans-serif']=['Microsoft YaHei']
#主程序
function_name =14 #测试函数1-23
SearchAgents_no = 50#种群大小
Max_iter = 100#迭代次数
lb,ub,dim,fobj=Get_Functions_details(function_name)#获取问题信息
BestX1,BestF1,curve1 = RFO(SearchAgents_no, Max_iter,lb,ub,dim,fobj)#问题求解
BestX2,BestF2,curve2 = GWO(SearchAgents_no, Max_iter,lb,ub,dim,fobj)#问题求解
BestX3,BestF3,curve3 = DBO(SearchAgents_no, Max_iter,lb,ub,dim,fobj)#问题求解
BestX4,BestF4,curve4 = HHO(SearchAgents_no, Max_iter,lb,ub,dim,fobj)#问题求解
BestX5,BestF5,curve5 = SSA(SearchAgents_no, Max_iter,lb,ub,dim,fobj)#问题求解


#画收敛曲线图
Labelstr=['RFO','GWO','DBO','HHO','SSA']
Colorstr=['r','g','b','k','c']
if BestF1>0:
    plt.semilogy(curve1,color=Colorstr[0],linewidth=2,label=Labelstr[0])
    plt.semilogy(curve2,color=Colorstr[1],linewidth=2,label=Labelstr[1])
    plt.semilogy(curve3,color=Colorstr[2],linewidth=2,label=Labelstr[2])
    plt.semilogy(curve4,color=Colorstr[3],linewidth=2,label=Labelstr[3])
    plt.semilogy(curve5,color=Colorstr[4],linewidth=2,label=Labelstr[4])
else:
    plt.plot(curve1,color=Colorstr[0],linewidth=2,label=Labelstr[0])
    plt.plot(curve2,color=Colorstr[1],linewidth=2,label=Labelstr[1])
    plt.plot(curve3,color=Colorstr[2],linewidth=2,label=Labelstr[2])
    plt.plot(curve4,color=Colorstr[3],linewidth=2,label=Labelstr[3])
    plt.plot(curve5,color=Colorstr[4],linewidth=2,label=Labelstr[4])


plt.xlabel("Iteration")
plt.ylabel("Fitness")
plt.xlim(0,Max_iter)
plt.title("F"+str(function_name))
plt.legend()
plt.savefig(str(function_name)+'.png')
plt.show()

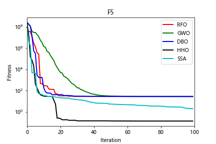
部分结果:










三、参考代码

文件夹内包含上述5种算法求解23个函数完整python代码,点击main.py即可运行。


创作时间: