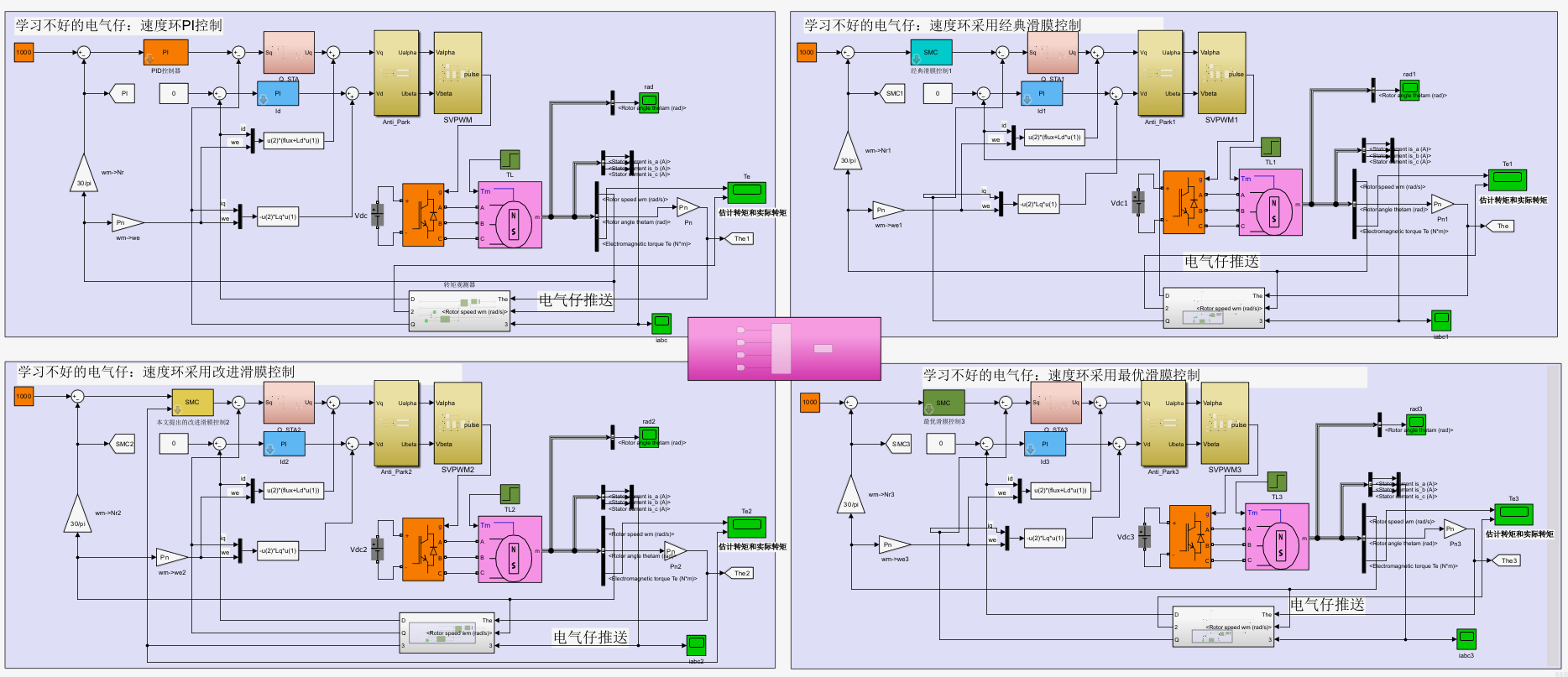
基于改进滑膜、经典滑膜、最优滑膜控制的永磁同步电机调速系统MATLAB仿真

作品简介

模型简介

针对永磁同步电机调速系统的响应性能和抗干扰能力问题,本文做了四个仿真,分别为:永磁同步电机的PID控制调速系统、基于传统滑模控制的永磁同步电机的调速系统、最优滑模控制的永磁同步电机调速系统及改进滑膜控制的永磁同步电机调速系统。

重点是改进滑膜控制永磁同步调速系统,在传统滑模控制器的基础上,对趋近率和开关函数进行改进得到最优滑模控制器的函数表达式,将滑模控制与扰动观测器相结合,以参数变化及负载的扰动作为前馈补偿,当负载及电机参数发生变化时,控制器能克服负载及参数扰动对系统的影响,有效的抑制系统的抖振现象,同时引入饱和函数,进一步的提高系统的鲁棒性。

最后通过仿真对比了四种方法的控制性能,效果非常完美!!

改进滑膜控制器设计

取PMSM状态变量为:

式中:ωref为目标转速,ωm为电机输出转速。

定义系统滑模面函数为:

对滑模面函数求导,得:

在电机实际控制时,滑模控制方法存在高频抖振问题,则需要选取合适的指数趋近率可以有效的减弱滑模抖振。因此,为了提高系统的性能,将引入改进的新型趋近率,其改进的趋近率为

当误差增大时,等速趋近项使系统状态变量接近滑模面;同时,指数趋近项使系统状态变量减少至0。

得控制器的输出方程为:

采用饱和函sat(s,δ)代替sgn(s),能有效的抑制抖振,并进一步提高系统的鲁棒性。将观测的扰动及负载转矩的摄动值 β^带入到上式=可得:

以参数变化及负载的扰动作为前馈补偿,当负载及电机参数发生变化时,控制器能克服负载及参数扰动对系统的影响,有效的抑制系统的抖振现象,同时引入饱和函数,进一步的提高系统的鲁棒性。

仿真模型

设定目标转速为1000r/min,直流侧电压 为311v,初始负载为0N.m,在0.4s突加10N.m的负载。改进滑膜控制算法、最优滑模、PI及传统滑模的速度响应曲线如下:

由结果图可知,在系统启动时,改进滑膜控制的速度响应略次与最优滑膜控制,但在负载扰动时,改进滑膜控制的抗扰性能很好,鲁棒性很高!!

参考文献:

王要强——永磁同步电机新型趋近律滑模控制策略

段方宾——永磁同步电机最优滑模控制

李政——永磁同步电机调速系统的积分型滑模变结构控制

详细建模说明文件




创作时间:2024-06-22 13:11:24