红嘴蓝鹊优化算法(RMBO)-2024年SCI顶刊新算法-公式原理详解与性能测评 Matlab代码免费获取

作品简介

声明:文章是从本人公众号中复制而来,因此,想最新最快了解各类智能优化算法及其改进的朋友,可关注我的公众号:强盛机器学习,不定期会有很多免费代码分享~

红嘴蓝鹊优化算法(Red-billed blue magpie optimizer, RBMO ) 是一种新型的元启发式算法(智能优化算法),灵感来源于红嘴蓝鹊的合作、高效的捕食行为。 作者在CEC2014和CEC2017测试函数和无人机路径规划应用(二维和三维)中对RBMO进行测试,其得到了较好的解,证明了其解决NP-hard问题的有效性。该成果由Shengwei Fu等人于 2024年5月 发表在 SCI顶刊《Artificial Intelligence Review》 上!

由于发表时间较短,谷歌学术上还没人引用!你先用,你就是创新!

01

原理简介

灵感: 红嘴蓝鹊是一种灵活的捕食者,他们以各种方式获取和储存食物,同时在狩猎行为中也表现出社会性和合作性。受此启发,作者提出了一种新的元启发式算法RBMO。

一、种群初始化

与大多数算法一样,通过以下公式产生的RBMO的初始搜索代理:

式中,ub和lb分别为问题的上界和下界,Rand表示0到1之间的随机数。

二、寻找食物

在寻找食物的过程中,红嘴蓝喜鹊通常以小团体(2至5只)或成群(10只以上)的方式行动,以提高搜索效率。它们采用各种各样的技术,如在地上跳跃、行走或在树上搜寻食物资源。这种适应性和灵活性使红嘴蓝喜鹊能够根据环境条件和可用资源采用多种狩猎策略,确保获得充足的食物供应。

当小团体探索食物时使用公式(3)进行迭代:

其中t表示当前迭代次数,Xi(t+1)表示第i个新的搜索代理位置,p表示从所有搜索个体中随机选择的2到5个小群体中的红嘴蓝喜鹊的数量,Xm表示随机选择的第m个个体,Xi表示第i个个体,Xrs(t)表示当前迭代中随机选择的搜索代理。

当成群时使用公式(4)进行迭代:

其中q表示集群在探索食物时的搜索代理数量,介于10到n之间。同样,它也是从整个群体中随机选择的。

三、攻击猎物

红嘴蓝喜鹊在追捕猎物时表现出高度的狩猎熟练度和合作精神。它们采用快速啄食、跳跃捕捉猎物或飞行捕捉昆虫等战术。在小团体行动中,主要目标通常是小型猎物或植物。相应的数学模型如式(5)所示。

当红嘴蓝喜鹊成群行动时,它们能够共同瞄准大型猎物,如大型昆虫或小型脊椎动物。这种行为的数学表达式见式(6)。这种掠食性狩猎行为强调了红嘴蓝喜鹊所拥有的多种策略和技能,使其成为一种多才多艺的捕食者,擅长在各种情况下成功获取食物。

其中Xfood(t)表示食物的位置,CF=(1-t/T)^(2*(t/T)), Randn表示用于生成标准正态分布(平均值0,标准差1)的随机数。

四、储存食物

除了寻找和攻击食物外,红嘴蓝喜鹊还将多余的食物储存在树洞或其他隐蔽的地方,以备将来食用,确保在食物短缺时稳定的食物供应。这个过程保留了解决方案的信息,方便个人找到全局最优值。数学模型如Eq.(7)所示。

其中,fitness(i)old和fitness(i)new分别表示第i只红嘴蓝喜鹊位置更新前后的适应度值。

02

算法伪代码

总体上看,在RBMO中,优化过程从生成一组随机的候选解开始,称为种群。 无论是次优解还是最优解, RBMO的搜索策略总是通过重复轨迹寻找合适的位置。其中储藏食物阶段 提高了RBMO的开发利用能力。 最后,RBMO搜索过程在满足最终标准时结束。

需要注意,在捕猎过程中,虽然红嘴蓝喜鹊的种群规模不同,但小规模种群和成群时的总数保持相似。 在本文中,作者提出了一个均衡人口的系数,设为0.5。

以下提供RBMO算法的伪代码,非常清晰!

03

性能测评

原文在 CEC2014和CEC2017测试函数和 无人机路径规划应用(二维和三维)中对RBMO进行测试,并与以下三类广泛认可的算法进行了比较:(1)先进的变体,(2)最近提出的算法,(3)高性能优化算法,包括CEC获奖者。实验结果表明,RBMO得到了较好的解,证明了其解决NP-hard问题的有效性。(下图为CEC2017函数列表)

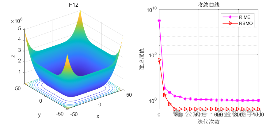
这边为了方便大家对比与理解,采用23个标准测试函数,即CEC2005,并与23年新出的霜冰优化算法RIME进行对比!这边展示其中5个测试函数的图,其余十几个测试函数大家可以自行切换尝试!

可以看到,RBMO在大部分函数上都超过了23年的霜冰优化算法,在F8这个复杂多峰函数上略微若于RIME算法~总体上看效果依旧不错,大家应用到各类预测、优化问题中是一个不错的选择~

04

参考文献

[1]Fu S, Li K, Huang H, et al. Red-billed blue magpie optimizer: a novel metaheuristic algorithm for 2D/3D UAV path planning and engineering design problems[J]. Artificial Intelligence Review, 2024, 57(6): 1-89.

也可后台回复个人需求(比如RMBO-SVM)定制以下RMBO算法优化模型(看到秒回):

1.回归/时序/分类预测类: SVM、RVM、LSSVM、ELM、KELM、HKELM、DELM、RELM、DHKELM、RF、LSTM、BiLSTM、GRU、BiGRU、PNN、CNN、 BP、XGBoost、TCN、BiTCN、ESN等等均可~

2.组合预测类: CNN/TCN/BiTCN/DBN/Adaboost结合SVM、RVM、ELM、LSTM、BiLSTM、GRU、BiGRU、Attention机制类等均可(可任意搭配非常新颖)~

3.分解类: EMD、EEMD、VMD、REMD、FEEMD、TVFEMD、CEEMDAN、ICEEMDAN、SVMD、FMD等分解模型均可~

4.其他: 机器人路径规划、无人机三维路径规划、DBSCAN聚类、VRPTW路径优化、微电网优化、无线传感器覆盖优化、故障诊断等等均可~

5.原创改进优化算法(适合需要创新的小伙伴): 原创改进2024年的RMBO优化算法以及麻雀SSA、蜣螂DBO等任意优化算法均可,保证测试函数效果!

创作时间: