【智能优化算法】蜜獾优化算法(Honey Badger Algorithm,HBA)

作品简介

蜜獾优化算法(Honey Badger Algorithm,HBA)是期刊“MATHEMATICS AND COMPUTERS IN SIMULATION”(IF 3.6)的2022年智能优化算法

01.引言

蜜獾优化算法(Honey Badger Algorithm,HBA)受蜜獾智能觅食行为的启发,从数学上发展出一种求解优化问题的高效搜索策略。将蜜獾的动态搜索行为分为挖掘和寻蜜两种方法,并将其描述为HBA的探索和开发阶段。此外,通过控制随机化技术,HBA即使在搜索过程结束时也能保持充足的种群多样性。

02.优化算法的流程

蜜獾是一种黑色和白色毛茸茸的哺乳动物,经常在非洲、西南亚和印度次大陆的半沙漠和热带雨林中发现,以其无畏的本性而闻名。这种狗(体长60至77厘米,体重7至13公斤)是无所畏惧的觅食者,捕食60种不同的物种,包括危险的蛇。它是一种聪明的动物,会使用工具,而且它喜欢蜂蜜。它喜欢独自呆在自己挖的洞里,和其他獾相遇只是为了交配。已知的蜜獾有12个亚种。蜜獾没有特定的繁殖季节,因为全年都有幼崽出生。由于它们勇敢的天性,当它们无法逃脱时,它们会毫不犹豫地攻击更大的捕食者(见图1a)。这种动物也可以很容易地爬上树,如图1b所示,以达到鸟巢和蜂巢的食物。蜜獾用嗅觉老鼠的技巧,通过缓慢地连续行走来定位猎物。它开始通过挖掘和最终捕获猎物来确定猎物的大致位置。在一天内,它可以在半径40公里或更大的范围内挖多达50个洞。蜜獾喜欢蜂蜜,但它不善于定位蜂箱。另一方面,导蜜鸟(一种鸟)可以找到蜂巢,但不能得到蜂蜜。这些现象导致了两者之间的关系,鸟将獾带到蜂巢,并用长爪帮助它打开蜂巢,然后两者都享受团队合作的回报。HBA (Honey Badger Algorithm)是一种模仿蜜獾觅食行为的算法。为了寻找食物来源,蜜獾要么闻,要么挖,要么跟着导蜜鸟。我们称第一种情况为挖掘模式,第二种情况为蜂蜜模式。在先验模式中,它利用嗅觉能力来估计猎物的位置;当到达那里时,它会在猎物周围移动,选择合适的地方挖掘和捕捉猎物。在后一种模式下,蜜獾利用导蜜鸟的引导直接定位蜂巢。

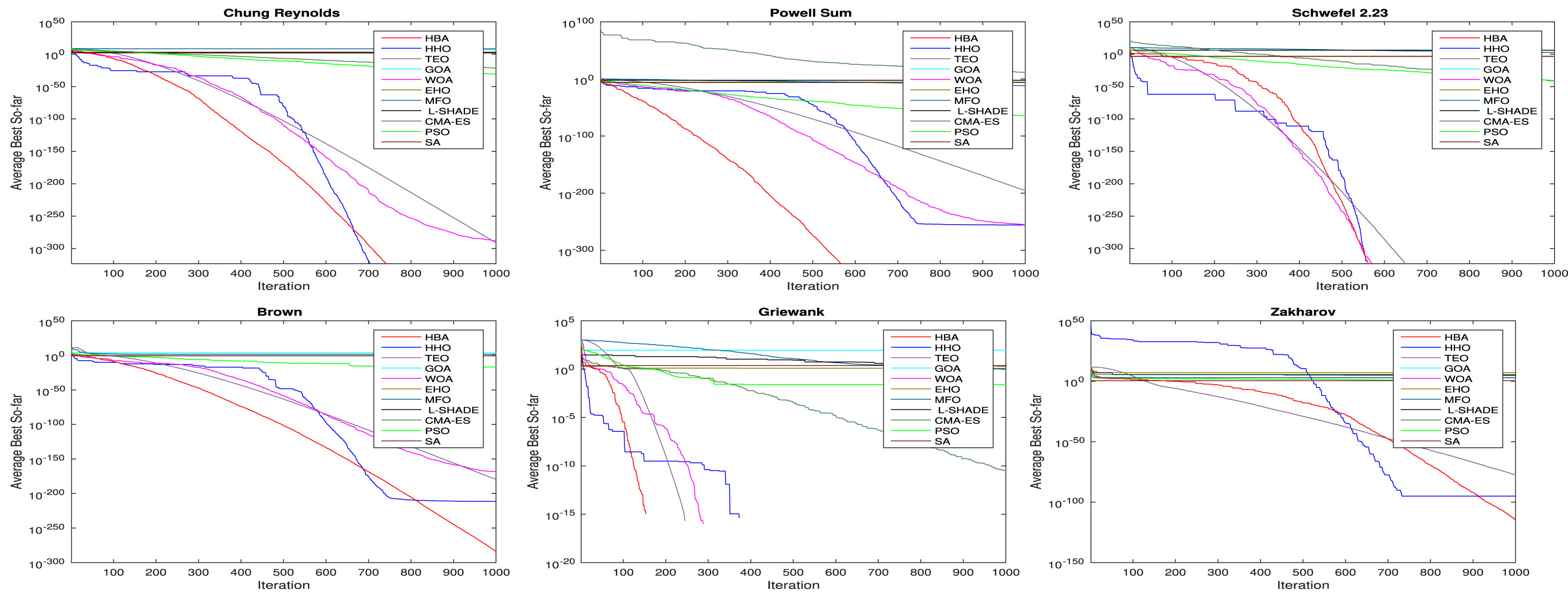
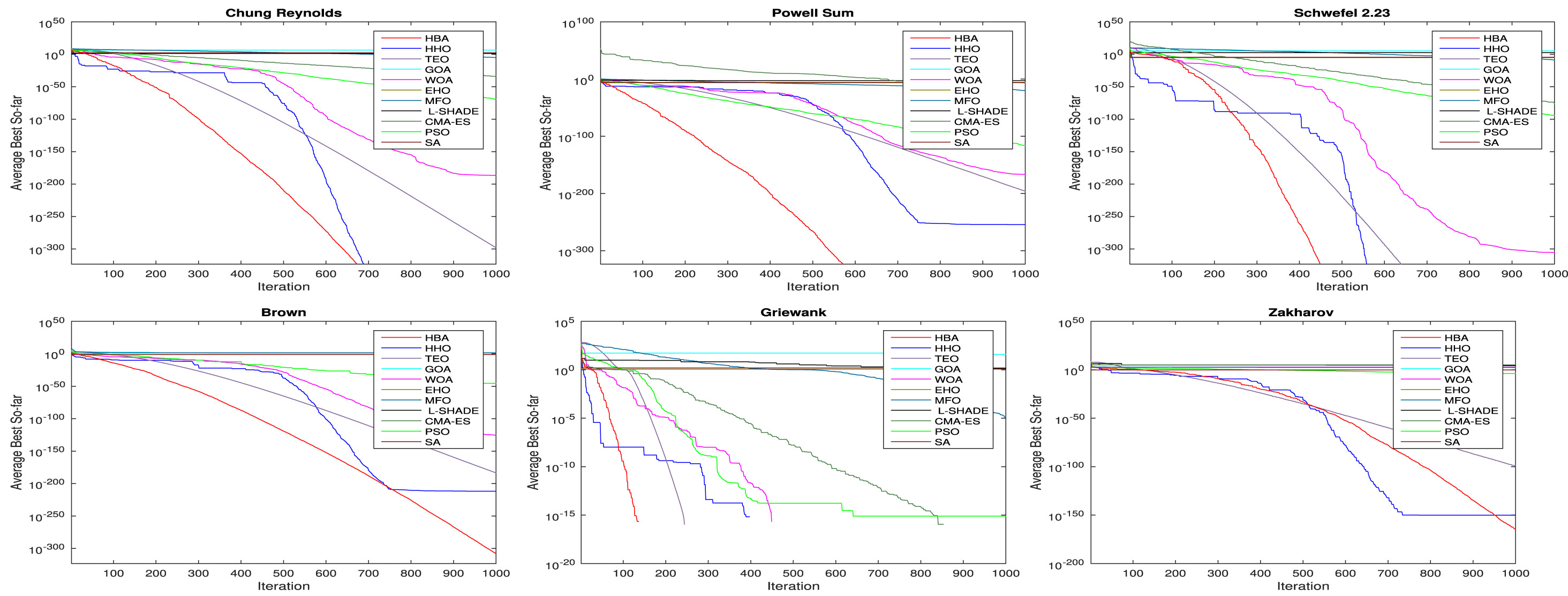
03.论文中算法对比图

04.部分代码

function [Food_Score,Xprey,CNVG] = HBA(N,tmax,lb,ub,dim,objfunc)
beta       = 6;     % the ability of HB to get the food  Eq.(4)
C       = 2;     %constant in Eq. (3)
vec_flag=[1,-1];
%initialization
X=initialization(N,dim,ub,lb);
%Evaluation
fitness = fun_calcobjfunc(objfunc, X);
[GYbest, gbest] = min(fitness);
Xprey = X(gbest,:);
for t = 1:tmax
    alpha=C*exp(-t/tmax);   %density factor in Eq. (3)
    I=Intensity(N,Xprey,X); %intensity in Eq. (2)
    for i=1:N
        r =rand();
        F=vec_flag(floor(2*rand()+1));
        for j=1:1:dim
            di=((Xprey(j)-X(i,j)));
            if r<.5
                r3=rand;                r4=rand;                r5=rand;
                
                Xnew(i,j)=Xprey(j) +F*beta*I(i)* Xprey(j)+F*r3*alpha*(di)*abs(cos(2*pi*r4)*(1-cos(2*pi*r5)));
            else
                r7=rand;
                Xnew(i,j)=Xprey(j)+F*r7*alpha*di;
            end
        end
        FU=Xnew(i,:)>ub;FL=Xnew(i,:):)=(Xnew(i,:).*(~(FU+FL)))+ub.*FU+lb.*FL;
        
        tempFitness = fun_calcobjfunc(objfunc, Xnew(i,:));
        if tempFitness:)= Xnew(i,:);
        end
    end
    FU=X>ub;FL=Xif Ybest:);
    end
end
Food_Score = GYbest;
end
function Y = fun_calcobjfunc(func, X)
N = size(X,1);
for i = 1:N
    Y(i) = func(X(i,:));
end
end
function I=Intensity(N,Xprey,X)
for i=1:N-1
    di(i) =( norm((X(i,:)-Xprey+eps))).^2;
    S(i)=( norm((X(i,:)-X(i+1,:)+eps))).^2;
end
di(N)=( norm((X(N,:)-Xprey+eps))).^2;
S(N)=( norm((X(N,:)-X(1,:)+eps))).^2;
for i=1:N
    r2=rand;
    I(i)=r2*S(i)/(4*pi*di(i));
end
end
function [X]=initialization(N,dim,up,down)
if size(up,2)==1
    X=rand(N,dim).*(up-down)+down;
end
if size(up,2)>1
    for i=1:dim
        high=up(i);low=down(i);
        X(:,i)=rand(N,1).*(high-low)+low;
    end
end
end

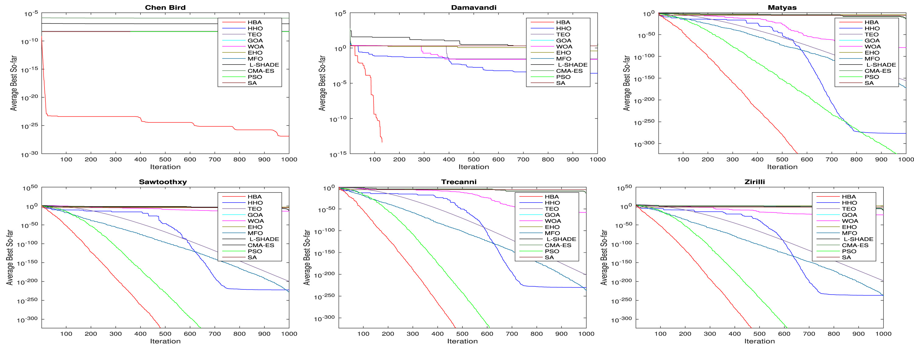
04.本代码效果图


创作时间: