1.QPSK信号
1.1、原理
在数字信号的调制方式中QPSK四相移键控是目前最常用的一种卫星数字信号调制方式,它具有较高的频谱利用率、较强的抗干扰性、在电路上实现也较为简单。
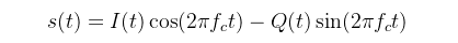
QPSK信号产生过程:基带码元波形经过QPSK映射(串并转换分成I、Q两路,然后再经过电平转换,0转换成1,1转换-1)得到QPSK调制信号,再与对应的载波相乘,然后再相加完成QPSK的调制。

其中
,
,
为载频,
为QPSK调制码的IQ表示,
为码宽,
为码波形,由成型滤波器决定。
QPSK信号解调的原理框图
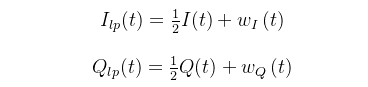
QPSK信号再分为I、Q两路和对应的载波相乘,然后经过低通滤波器得到基带信号:

其中
,
表示接收机噪声,
分别表示IQ路噪声。
对下变频后的基带信号进行匹配滤波,并进行抽样判决,恢复出原始的码元序列。
2.MATLAB仿真
参数设置,采样率10MHz,载频 2.5MHz,码序列随机生成,长度为10000,成型滤波器采用平方根升余弦滤波器,滚降系数0.1决定码波形,采样率10MHz。信噪比10dB。