【雷达信号分选】基于对比时频学习的雷达信号分选【附MATLAB代码】

作品简介

摘要

随着雷达技术的发展,雷达所处的电磁环境越来越复杂。已有的雷达信号分选和识别方法中,标记数据的获取代价高,泛化能力差。针对这一问题,提出了一种基于时频分析和对比学习的雷达信号识别方法。在不使用标签的情况下,根据雷达信号的特点对分类过程进行了改进。提出的时频对比学习方法可以利用无监督数据对雷达信号进行分类识别.通过对不同信道条件下的数据进行增广,提高了分类模型的泛化能力,特别是对于低信噪比的情况。实验结果表明,该方法具有良好的性能,对雷达信号的分类准确率可达98.17%。

引言

雷达侦察是现代电子对抗技术的重要组成部分,是电子防御的基石。雷达信号分选是雷达侦察的主要阶段。随着雷达技术的进步,电磁环境的复杂性不断扩大[1]。有效和高效地对信号进行分类是一个非常重要的问题[2]。

传统的雷达信号分选识别算法通常使用脉冲描述字(PDW),其包括载波频率(CF)、脉冲宽度(PW)、脉冲幅度(PA)、到达时间(TOA)和到达方向(DOA)[3]。除了脉间特征外,脉内调制特征也是雷达信号细微特征的重要体现[4]。利用脉内特征进行信号分选和识别已成为一项重要的研究技术[5]。然而,单一的时域或频域分析方法不能很好地描述信号的变化规律和特征。时频分析能更好地反映非平稳信号的能量密度分布。通过将一维信号映射到二维时频域,时频分析可以大大提高算法的鲁棒性,降低噪声的影响。

信号分选的一个重要环节是特征提取。深度学习已经展示了令人印象深刻的特征提取在计算机视觉和自然语言处理等领域的能力。利用强化学习和迁移学习等深度学习的知识,自主地提取雷达信号的特征,已经进行了许多研究。深度学习理论在雷达信号处理领域的应用已经是最有前途的研究领域之一[6]。

深度学习模型的性能通常与数据集的质量密切相关。具有良好泛化能力的鲁棒深度学习网络通常通过训练大量标记数据来获得。由于电子对抗中未知雷达的大量出现,构建一个包含标注标签的大型雷达数据集是非常困难的。然而,无监督数据比有监督数据更容易获得。为了减少对标记数据的依赖,可以使用无监督数据来训练网络进行信号分类。因此,值得探索一种使用借口任务挖掘无监督数据特征的方法,例如,预测图像旋转角度,拼图任务[7]。对于雷达信号分选,需要一个与雷达信号特征相匹配的合适的分选任务。

本文提出了一种基于时频分析和对比学习的雷达信号分选方法--对比时频学习(CTFL)。该方法的目的是减少对监督数据的依赖,提高雷达信号分选方法的泛化能力。基于多同步压缩变换(MSST),将信号变换为二维时频图像。将增强时频图像(TFI)以训练对比学习模型来提取信号的特征。利用雷达信号的特征,可以实现有效的分类。

本文的组织结构如下。第二节将介绍相关工作。根据现有工程,将在第3节中详细描述拟议工程。实验结果将在第四节中给出,并将所提出的方法的结果与几种参考方法进行比较。第五节是本文的结论。

相关工作

基于时频分析和机器学习的雷达信号分选方法已被提出。利用Choi-Williams分布(CWD)进行时频分析,然后利用信息论对信号的潜在特征进行滤波[8]。利用多层感知器对信噪比为6dB的雷达信号进行分类。为了提高分选系统的鲁棒性和泛化能力,将迁移学习用于雷达信号脉内特征的分选。迁移学习用于重构能量的立方,其用于表征原始雷达信号[9]。然后用支持向量机对特征进行分类。提高了精度和鲁棒性。所有这些特征提取方法都需要专业人员的丰富经验。基于经验的特征提取方法虽然语义清晰,但其应用受到信号类别的限制。这些特征不太通用,因此对于新调制信号的分类通常不可靠。此外,过度拟合的问题也不容忽视。当特征的维数不断增加时,准确率并不能随之提高。

为了使分类方法具有通用性,需要自动进行特征提取。深度学习理论近年来发展迅速,在计算机视觉、自然语言处理等领域表现出优异的性能和强大的泛化能力。深度学习为从信号中自动提取特征带来了许多可能性和创新。科恩类时频分布核函数的引入,以改善雷达信号分选[10]。对于低信噪比信号的分选性能良好。除了CNN,随机森林(RFF)也被用来分类雷达信号。堆叠稀疏自动编码器(SSAE)用于识别低截获概率雷达信号[11]。CWD用于时频变换,然后RFF用于识别SSAE提取的特征。该方法的准确度可达96.4% [12]。然而,所有这些方法都需要大量的训练集才能达到高精度。

本文提出了一种基于深度学习的雷达信号分选方法,该方法可以利用无监督数据而非有监督数据。与现有方法相比,该方法具有更好的泛化能力,且该方法的特征表示模块能有效提高低信噪比下分类任务的准确率。

对比时频学习

基于MSST的雷达信号TFI

众所周知,雷达信号的脉内特征包括脉内有意调制特征和脉内无意调制特征[13]。无意调制特征可以看作是雷达硬件特性的表现,也被称为射频指纹。有意调制特征由幅度调制、频率调制或相位调制产生。本文同时考虑了有意调制特征和无意调制特征,不要求将它们分开。

接收到的雷达信号包括调制信号和噪声,其可以表示为

其中,R1(R2)是雷达信号。噪声表示为()。本文研究了连续波(CW)、线性调频(LFM)、非线性调频(NLFM)、二进制相移键控(BPSK)、二进制移频键控(2FSK)和线性调频/非线性调频(LFM/NLFM)等6种不同的信号。

雷达信号包含着丰富的时频域信息。短时傅立叶变换(STFT)是常用的时频分析方法。此外,小波变换(WT)、Wigner-Ville分布(WVD)和Cohen类时频分布也被广泛应用。然而,这些方法容易受到海森堡测不准原理的影响,其结果很难直接用于信号分选。

本文将多同步压缩变换(MSST)应用于雷达信号的时频分析,其结果具有较高的分辨率,包含了雷达信号的更多特征。MSST通过压缩STFT结果在一定频率范围内的时频能量来获得同步压缩变换(SST)[14]。

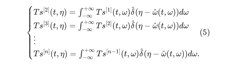
其中,g(u)是窗函数,并且接收到的信号由y(u)表示。振幅和相位分别由A(t)和φ(t)表示。

然后,对时频谱执行SST,其可以表示为

式中,频率ω是瞬时频率,


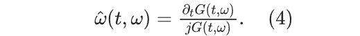
同步压缩变换改善了能量聚集。然后,SST结果经过多次SST运算。TF光谱变为

利用MSST对信号进行处理,得到联合时频分布矩阵。该矩阵被保存为具有三个通道(X,X,Y)的2D图像,即,将相同的矩阵分别复制三次作为双通道、双通道、双通道。本文研究了6种雷达信号,它们的TFI如图1所示。

基于TFI的雷达信号特征提取

在将TFI用于额外的特征之前,需要对其进行预处理,适当的数据预处理可以提高神经网络训练的收敛速度和泛化能力。时频图像的预处理包括两个步骤,即,图像缩放和图像归一化。图像缩放的目的是通过将图像与一般神经网络训练范例对齐来提高效率。图像归一化的目的是规范数据分布,以加快网络的收敛。

图像缩放是基于双线性插值。图像归一化之前是最大-最小归一化。在图像的一个通道𝑋𝑖(𝑖 = 𝑅, 𝐺, 𝐵)中,最大值为a,最小值为b。然后,可以通过下式对像素p中的像素𝑋𝑖进行归一化:

在整个数据集被归一化之后,所有图像层的归一化像素的均值为μ,方差为�。对于通道𝑋𝑖中的像素点,归一化值为

对于图像数据,卷积神经网络是常用的自动特征提取方法。雷达信号大多是没有注释的无监督数据,无法被传统的深度卷积神经网络直接利用。因此,基于无监督数据的特征提取方法显得尤为重要。标签需要从数据本身导出,这通常需要特定的任务来构建伪监督信息。由于TFI不具有大范围的连续特征,我们使用对比学习来构建雷达信号的特征提取模块。

图2.对比学习的过程。

研究人员将对比学习应用于许多著名的方法,如MoCo [15],Simplified [16],SwAV [17],BYOL [18]。对比学习可以使用正对和负对来训练编码器网络。利用该编码器网络,实例可以被映射到特征空间中,其中相似实例更接近,不相似实例更远离。时频图像包含丰富的特征,对比学习可以有效地学习信号的高维特征。





创作时间: