运用蒙特卡洛法模拟电动汽车常规充电、快速充电、更换电池充电曲线及对日负荷曲线的影响

作品简介

运用蒙特卡洛法模拟电动汽车常规充电、快速充电、更换电池充电曲线及对日负荷曲线的影响;无序充电、受控充电、受控充放电曲线及对日负荷曲线的影响

MATLAB

有参考文档

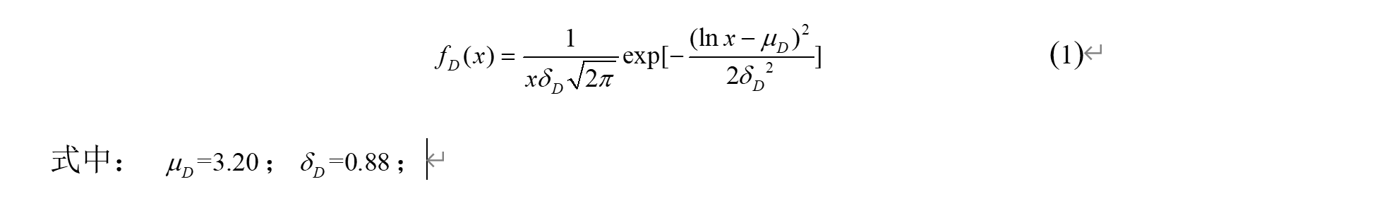
1.电动汽车充电负荷建模方法

1)日行驶里程和起始充电时间概率分布

根据美国国家公路交通管理局(NHTS)的统计,私家机动车的日行驶里程近似满足对数正态分布,行驶结束的时间近似满足正态分布,假设车主结束一天的行驶后便立即开始充电,即起始充电时间满足正态分布。由于目前电动私家车的使用功能与习惯与普通传统机动车的使用并无很大区别,所以选取传统私家机动车出行习惯和规律的数据作为研究电动汽车建模的数据参考。

   日行驶里程的概率密度函数表达式为:

图1 电动汽车日行驶里程概率分布曲线

   起始充电时间概率密度函数表达式为:

图2为电动汽车起始充电时间概率分布曲线。由图可知,电动汽车每天起始充电的高峰期在18~19点左右,符合私家车车主的出行规律以及下班回家立刻充电的习惯。

图2 电动汽车起始充电时间概率密度曲线

2)充电负荷计算方法

充电负荷建模的三要素为起始充电时间、充电功率和充电持续时间。根据已有数据对电动汽车的日行驶里程和起始充电时间进行统计分析,并运用适当的概率密度函数进行描述。日行驶里程影响每日的耗电量并且与电动汽车初始电池荷电状态(STATE OF CHARGE,SOC)有关。假设电动汽车每公里耗电量相同且每日一充,电动汽车起始充电与日行驶里程之间的关系可表达为:

以私家车为例,目前电动私家车一般采用锂电池作为动力电池,常采用恒流和恒压相互配合的两阶段充电方法,电动汽车充电时充电功率可近似处理为恒功率充电。

当充电功率处理为恒功率充电后,假设电动汽车每次充电都充满为止,一般可设置为1;因此充电持续时间与日行驶里程之间的关系可表示为:

2.三种充电方式的负荷建模

由于私家车出行的随机性更大,本文以电动私家车为研究对象更具普遍性,根据影响充电负荷的因素,即EV充电方式、EV储能电池动力特性、私家车的用车习惯(日行驶里程、起始充电时间),并根据现有统计数据用适当的概率密度函数进行描述,运用蒙特卡洛法进行模拟,获得单台电动汽车日充电负荷曲线,进而叠加台电动汽车的日充电负荷曲线得到大规模电动汽车的充电负荷曲线,最后将其与典型日负荷曲线进行叠加。

常规充电方式建模:

快速充电方式建模:

快速充电方式的充电功率较大,充电时间较短,一般只有30min左右。根据大部分私家车用户的使用习惯和通勤时间的安排,假设快速充电的起始充电时间在7:30~9::30、12:00~14:00、16:30~19:30、19:30~23:00四个时间段分别占参与快速充电的电动汽车总保有量的20%、20%、40%和20%进行快速充电,且起始充电时间在各自时间段服从均匀分布:

假设快速充电方式的充电功率服从均匀分布,其概率密度可表示为:

由于快速充电类似于加油站,所以假设起始充电服从正态分布,相应的概率密度函数表达式可表示为:

更换电池充电方式建模:

由于更换电池充电是将电动汽车的电池集中在夜间谷期充电,所以假设起始充电也服从正态分布;由于采用常规充电方式集中充电,假设充电功率为恒功率

假设起始充电时间在服从均匀分布,其概率密度函数表达式可表示为:

3.三种充放电行为的建模

充放电行为分为无序充电行为、受控充电行为和受控充放电行为,属于调控策略,针对电网侧负荷的调控需求。建模方法与充电负荷的建模方法类似,采用常规充电方式作为三种充放电行为建模的充电方式。

无序充电行为建模:

无序充电行为的建模与常规充电方式的建模几乎相同。

受控充电行为建模:

受控充放电不会传递能量至电网,但电动汽车会受控在夜间非高峰时段进行充电。日行驶里程、起始充电等参数计算方法与无序充电相同。根据受控充电的特点,根据典型日负荷曲线选择负荷非高峰固定时间点22:30作为起始充电时间

受控充放电行为建模:

根据典型日负荷曲线可知,一天存在两个负荷高峰期和一个负荷低谷期,电动汽车在负荷高峰期进行放电,在负荷低谷期进行充电。对三次充放电进行以下假设:

<1>早高峰:设定早行驶里程为日行驶里程的一半,当早起始放电时,可进行放电,且为保证后续行驶需求,假设放电后,根据典型日负荷曲线早起始放电时间设定为8:00

<2>晚高峰:根据日行驶里程和早高峰放电得晚高峰放电起始,当晚起始放电时,可进行放电,为维护电池寿命,假设放电后,根据典型日负荷曲线晚起始放电时间为19:00

<3>低谷期:根据典型日负荷曲线,起始充电时间在22:30-24:00呈均匀分布,直至充电完成

4.三种充电方式仿真及对日负荷曲线的影响分析

   利用MATLAB软件编程完成三种充电方式负荷仿真建模以及对日负荷曲线的影响。根据某市一组典型日负荷数据得到原始日负荷曲线,如图9所示。由图可知,一天中有两个负荷高峰期,即早高峰和晚高峰,有一个晚间负荷低谷期。

图9 原始负荷曲线

(1)充电负荷曲线

图10为电动汽车常规充电负荷曲线

图10 常规充电负荷曲线

图11为电动汽车快速充电负荷曲线

 图11 快速充电负荷曲线

图12为电动汽车更换电池充电负荷曲线

图12 更换电池充电负荷曲线

(2)充电方式对日负荷曲线的影响

图13为常规充电对日负荷曲线的影响

图13 常规充电对日负荷曲线的影响

图14为快速充电对日负荷曲线的影响

图14 快速充电对日负荷曲线的影响

图15为更换电池充电对日负荷曲线的影响。

图15 更换电池充电对日负荷曲线的影响


5.三种充放电行为仿真及对日负荷曲线的影响分析

  利用MATLAB软件编程完成三种充放电行为仿真建模以及对日负荷曲线的影响。

(1)充放电行为仿真曲线

图16为电动汽车无序充电行为仿真曲线

图16 无序充电行为仿真曲线

图17为电动汽车受控充电行为仿真曲线

图17 受控充电行为仿真曲线

图18为电动汽车受控充放电行为仿真曲线

图18 受控充放电行为仿真曲线

(2)充放电行为对日负荷曲线的影响

图19为无序充电行为对日负荷曲线的影响

图19 无序充电行为对日负荷曲线的影响

图20为受控充电行为对日负荷曲线的影响

图20 受控充电行为对日负荷曲线的影响

图21为受控充放电行为对日负荷曲线的影响

图21受控充放电行为对日负荷曲线的影响






创作时间: