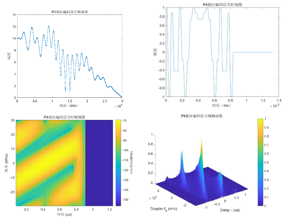
LFM、Barker、Frank、P1-P4低截获信号时频图、模糊函数图、自相关图MATLAB程序

作品简介


创作时间: