23-Torch-检测-使用YOLOV5做安全帽检测

作品简介

智慧工地项目:安全帽是工人在施工现场的重要防护工具,但许多工人因安全帽缺乏舒适感而选择不佩戴,这将危及工人的生命安全。因此实时监控工人是否正确佩戴安全帽十分重要,但工地上作业环境危险,不适合用人力迚行实时监控,所以考虑将机器视觉应用其中,代替人力迚行安全帽佩戴检测。这可以一定程度上预防安全事故的収生,保证工人的安全。


0. 环境配置

环境配置部分,还是我们的老朋友pycharm和anaconda,使用pytorch1.10.0。

1. 数据集搜集

数据集方面通过爬虫来进行搜集,搜集并用labelme标注住2000张高质量数据。



2. 模型训练

使用主播写好的go_train.py进行训练,包含4组不同规格的yolov5模型,方便快捷。



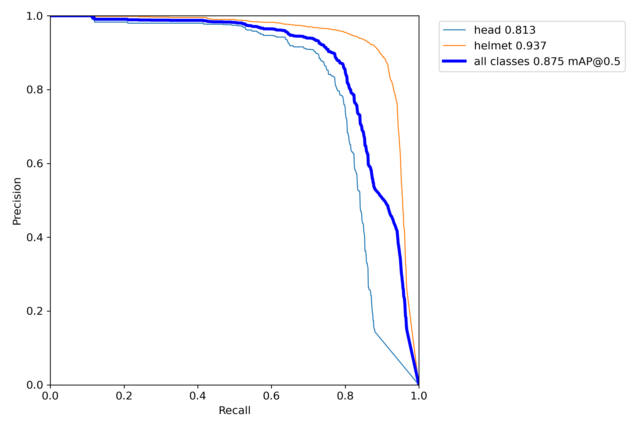
3. 模型测试

模型测试部分我们主要使用目标检测的评价指标mAP,高达87.5!



4. 系统构建

最后使用pyqt5封装我们的算法,有模型切换,图片检测和视频检测功能,方便快捷。




以上需要的小伙伴自取:(粉丝儿仅需9.9,包含4组模型+数据集+图形化界面系统)


创作时间:2023-04-09 18:16:09