【调制识别】基于自适应小波网络的调制信号自动识别【附代码】

作品简介
微信公众号:EW Frontier
关注可了解更多的雷达、通信、人工智能相关代码。问题或建议,请公众号留言;
如果你觉得EW Frontier对你有帮助,欢迎加入我的知识星球或面包多,更多代码等你来学
知识星球:https://wx.zsxq.com/dweb2/index/group/15552518881412
面包多:https://mbd.pub/o/author-a2mYl2tsbA==/work
QQ交流群:729981694
如有侵权请联系删除~

摘要

随着现代通信技术的不断发展,自动调制分类(AMC)在复杂的无线通信环境中发挥着越来越重要的作用。现有的基于深度学习的AMC方案使用神经网络来提取特征并计算特征图,然后将其馈送到完全连接的层中进行分类。然而,现有方案在利用特征地图方面仍然不足。为了克服这一局限性,提出了一种新的自适应小波网络(AWN),该网络将基于提升的自适应小波分解与信道注意机制相结合,与以往的模型相比,AWN的多级分解明确地提取了多个频带的特征。信道注意机制还从候选频率中选择最佳频率。AWN探索了一种新的AMC模式,通过在频域中引入先验知识来有效地集成信号的固有特性。模拟研究显示,所提出的自适应调制方案具有较低的计算复杂度,且性能优于基准方案。

引言

随着现代通信技术的飞速发展,无线通信中的调制方式也在不断地增加,其多样性和复杂性不断增加[1]、[2]、[3]。此外,不断增长的用户需求和爆炸性的数据量导致通信环境日益复杂[4]。因此,对通信信号进行快速、自动的识别和分类是至关重要的。自动调制分类(AMC)是无线通信中的关键过程,在广泛的民用和军用应用中发挥了至关重要的作用,例如,认知无线电[5]、电子战[6]、频谱监测[7]、监视分析[8]和无线电故障检测[9]。它提供了信号检测和解调之间的桥梁,用于接收信号调制类型的有效分类。因此,拥有一个值得信赖和有效的AMC计划至关重要。

除了将I/Q元数据或频谱作为输入之外,还有许多工作将一些手动特征沿着与I/Q元数据结合以增强性能。例如,Qi等人。[34]实现多模态输入(幅度,相位,傅立叶特征,累积量等)以提高性能Huynh-The等人。[35]和Zhang等人。[36]都将I/Q数据与幅度和相位连接起来,这提供了信号的更有效表征。此外,Kim等人。[37]提出了一种新的两阶段方法,使用一个网络将I/Q信号转换为图像数据,另一个网络通过这些图像数据进行分类。这些方法虽然有效,但需要手动引入手工制作的功能,并且不利于端到端部署。

由于在AMC中训练模型需要大量的数据,一部分研究人员已经着手解决数据安全和隐私问题。为了在不公开设备信息的情况下协作使用各种设备的数据集,Shi等人[38]将联合收割机联合学习结合到AMC中,以提高准确性,同时保持数据安全性。Liu等人。[39]提出了一个区块链联邦学习框架,并设计了一个参数有效性评估方法,大大削弱了恶意节点的影响。Liu等人。[40]提出了一种特殊的特征聚合技术来提高准确性,这与模型平均值相似。这些工作推动了深度学习模型在工业层面上在AMC上的实施。

作为深度学习中的一个典型分类问题,本文还讨论了AMC任务中的数据增强问题。许多研究[41],[42],[43]还建议使用生成对抗网络进行数据增强,以解决标签数据不足的问题。Zheng等人[44]给出了一种将I-Q信号转换为幅度谱的策略,并对谱进行随机掩码,然后将其转换回时域进行数据增强。Huang等人[45]研究了三种典型的增强方法,旋转,翻转和高斯噪声。Herwaman等人。[46]通过在分类器层中添加高斯噪声来增强训练阶段,以实现隐式正则化。这些数据增强方法减轻了训练AMC模型的困难,并避免了过拟合

从更多样化和创造性的角度来看待AMC。复卷积,复批量归一化,复权重初始化和复稠密方法在[47]中描述。Tu等人。[48]尝试融合不同的图片和手工制作的信号特征,以获得更具鉴别力的特征,这表明与非融合技术相比具有上级性能。Rajendran等人。[49]提出了分布式无线频谱感知网络的调制分类问题。Ramjee等人。[50]提出了一种基于过于复杂的贪婪搜索算法寻求最优解。Abdelbar等人。[51]介绍了合作AMC(CAMC),其中来自具有许多传感器的未知发射机的信号及其性能优于使用单个传感器的AMC。Cai等人[52]将Transformer Network应用于AMC,并结合每个样本序列的全局信息。Tian等人。[53]提出了一种调制约束(MC)聚类分类器来识别信号。Chen等人[54]设计了一个可训练的算子,将原始信号转换为方阵,然后使用典型的CNN进行分类。Dong等人。[55]应用半监督方法来减轻AMC中对标记训练样本的依赖。Zhang等人[56]应用参数估计器和参数Transformer来提高分类的准确性。Huang等人。[57]提出了一种具有对比度损失的新型损失函数,引入该函数来训练模型,从而增强了各种调制模式之间的差异。多安等人[58]提出了一种多任务网络,用于同时执行调制分类和DOA估计。Huynh-The等人。[59]提出将AMC方法应用于智能雷达系统中的真实的场景。Huynh-The等人[60]研究了受损OFDM信号的调制分类。上述技术正在推动AMC深度学习的扩展。

本文的主要贡献可概括为:

1)克服了GAP的特征信息丢失和平坦化对结构的损伤。我们应用提升方案对特征图进行自适应小波分解,以提取更多的信息。与之前广泛使用的CNN和RNN架构相比,我们提出的多级分解首次考虑了信号的固有频域特性。

2)为了整合来自不同分解层次的跨通道信息,应用了一种简单有效的注意机制。它通过对不同通道的特征向量应用不同的权值,使网络能够关注不同的分解层次。这使得我们的模型可以为多个频段分配不同的权重,而不是像以前的工作那样只关注单个频率。

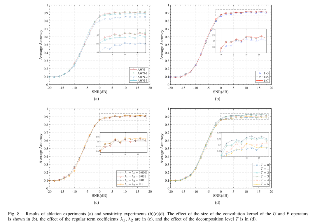
3)最后在三种数据集上分别与现有的基准模型进行对比,实验结果表明该方法具有较好的性能。同时,对模型的分解层数、计算复杂度等超参数的敏感性进行了综合讨论,并通过烧蚀实验验证了模型的有效性。最后,通过可视化分析,详细讨论了多级分解的结果。

文章插图

结论

本文提出了AWN,结合了多级分解模块。它能够通过执行自适应小波分解来整合特征图中的语义信息。并引入注意机制对不同分解层次的跨渠道信息进行整合。与以往的架构相比,我们提出的AWN利用不同频带的信号的第一次的功能。

通过在RML2016.10a、RML2016.10b和RML2018.01a上的实验,我们发现AWN在三个数据集上的性能优于其他基线模型,并且具有相当低的计算复杂度。这表明,多层次分解的实施确实有利于信号的分类。探讨了消融过程和敏感实验中分解层数等设置对分类效果的影响。可视化分析将分解后的特征图可视化,以获得直观的理解。所有这些实验和分析都说明了自适应小波在AMC中的应用前景。

相关学习资料见面包多链接https://mbd.pub/o/author-a2mYl2tsbA==/work

欢迎加入我的知识星球:https://wx.zsxq.com/dweb2/index/group/15552518881412,永久获取更多相关资料、代码。,永久获取更多相关资料、代码。


创作时间: