超越冠军算法!独家原创改进的蛇鹫优化算法!高维效果极佳!

作品简介

声明:文章是从本人公众号中复制而来,因此,想最新最快了解各类智能优化算法及其改进的朋友,可关注我的公众号:强盛机器学习,不定期会有很多免费代码分享~

此商品也可微信联系我(VX号:QSJQXX)有优惠。

好久没给大家带来独家原创的改进算法了,今天这份改进的蛇鹫优化算法,可以说是精品中的精品。正如标题所说,超越冠军算法。这是什么概念?

国际进化计算大会(CEC)每年都会组织一批竞赛,其中有名的CEC2017、CEC2022都是源于这个会议里面的测试函数集。全世界的算法研究者每年在这些测试函数中进行比赛,其中的Top算法(一般为前三)我们称之为冠军算法,也就是SOTA算法。

再介绍一下本次改进的算法,蛇鹫优化算法SBOA是发表在SCI人工智能Top顶刊《Artificial Intelligence Review》上的一个算法,2024年刚刚推出,用的人还非常少。 想要了解这个算法的同学,可以看下往期推文,链接如下:

2024年SCI最新算法-蛇鹭优化算法(SBOA)-公式原理详解与性能测评 Matlab代码免费获取

而我们的改进蛇鹫算法,不仅超过了原本SCItop期刊上的算法,而且与不同时期(2005年-2025年)的7种冠军算法进行比较,取得了最优排名结果。这样的算法,不用我多说,你也应该明白能发什么期刊了吧。

01

对比算法展示

再来看下我们的对比算法,全都是公认且赫赫有名的冠军算法。并且,我们还选用了一种2025年刚出来新算法LSHADE_SPACMA,是在原有的冠军算法上做了进一步改进,如此豪华的对比阵容,审稿人看了也得点个赞吧。

1.SaDE(2006年)

2.JADE(2009年)

3.LSHADE(2014年)

4.LSHADE_EpSin(2016年)

5.LSHADE_cnEpSin(2017年)

6.LSHADE_SPACMA(2017年)

7.mLSHADE_SPACMA(2025年)

并且我们已经将这些算法改成方便大家调用(6输入3输出)的形式。如果大家想替换其他的对比算法,都是非常方便的:

[JADE_Best_score,~,JADE_curve] = JADE(pop_size,max_iter,lb,ub,variables_no,fobj);  
[SaDE_Best_score,~,SaDE_curve] = SaDE(pop_size,max_iter,lb,ub,variables_no,fobj);
[LSHADE_Best_score,~,LSHADE_curve] = LSHADE(pop_size,max_iter,lb,ub,variables_no,fobj);
[LSHADE_EpSin_Best_score,~,LSHADE_EpSin_curve] = LSHADE_EpSin(pop_size,max_iter,lb,ub,variables_no,fobj);   
[LSHADE_cnEpSin_Best_score,~,LSHADE_cnEpSin_curve] = LSHADE_cnEpSin(pop_size,max_iter,lb,ub,variables_no,fobj); 
[LSHADE_SPACMA_Best_score,~,LSHADE_SPACMA_curve] = LSHADE_SPACMA(pop_size,max_iter,lb,ub,variables_no,fobj);
[mLSHADE_SPACMA_Best_score,~,mLSHADE_SPACMA_curve] = mLSHADE_SPACMA(pop_size,max_iter,lb,ub,variables_no,fobj);

02

结果展示

本次改进算法在CEC2017函数上测试,这也是公认的比较好的测试集。熟悉我的老读者都知道,我是不会对结果挑挑拣拣。好就是好,不好就是不好。因此,我把统计出来的结果直接做成了Excel表格,并且直接给小伙伴们下载。

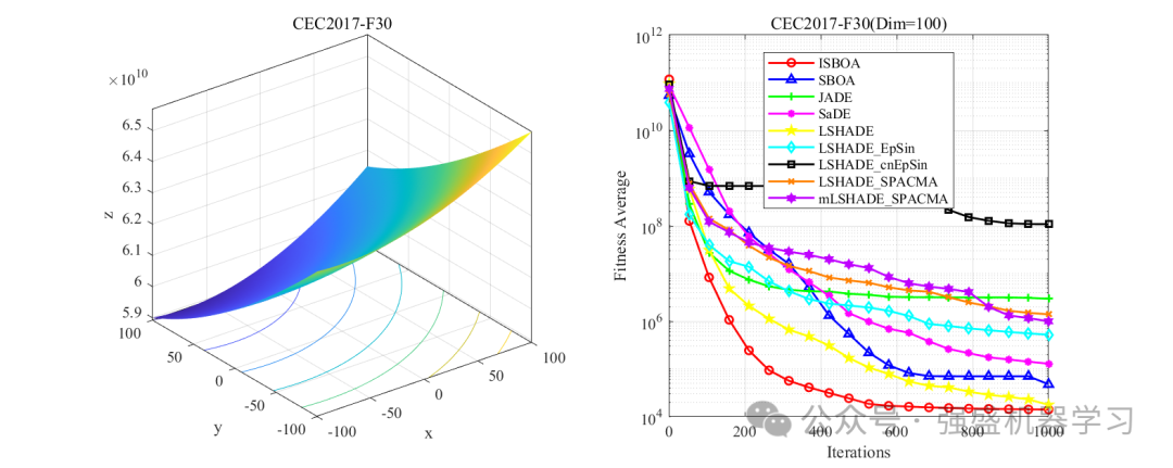
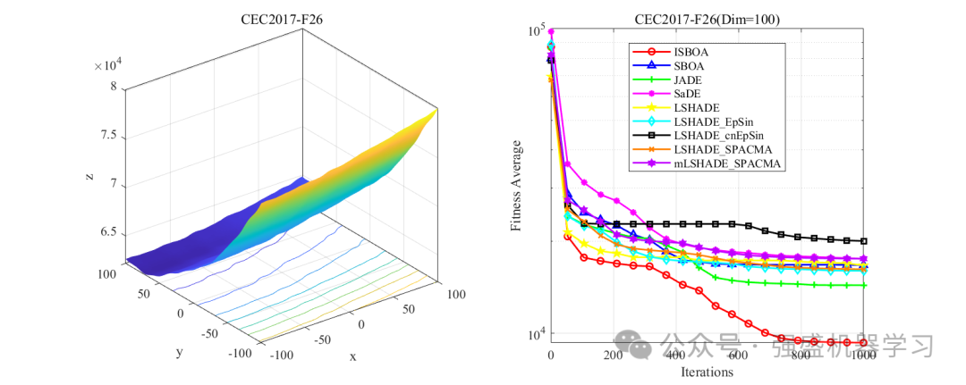
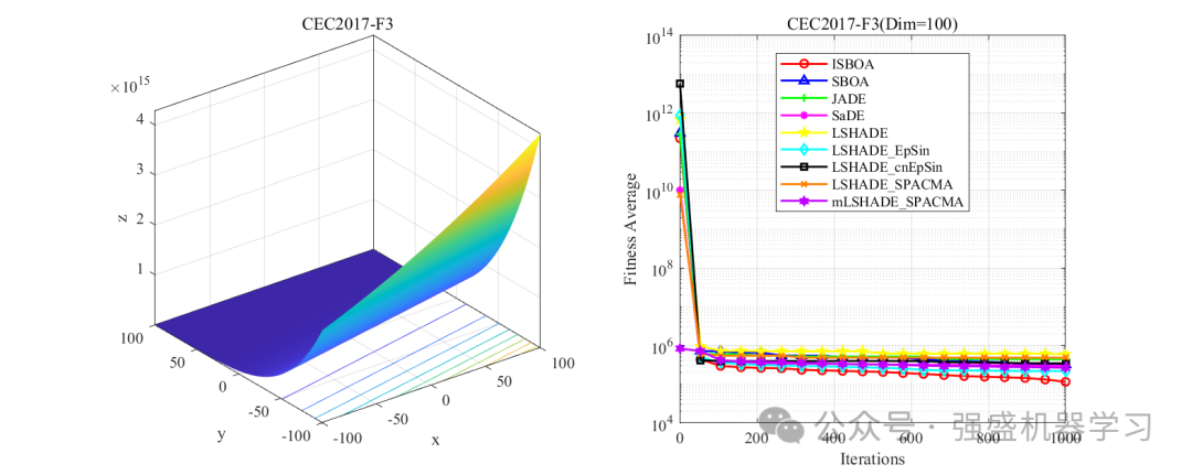
同时,为了体现我们改进算法在高维问题中的优势,设置种群数为30,最大迭代次数为1000,分别测试CEC2017中29个函数的30维与100维,并给出排名结果。

CEC2017-100维指标结果.xlsx

CEC2017-30维指标结果.xlsx

Friedman排名结果如下(越小越好):

100维(本算法排名第一):

30维(本算法排名第一):

可以看到,我们的算法在100维高维条件下平均排名为1.45。也就是说,在所有29个算法里,我们的算法平均排名不是第一就是第二,远高于其他冠军算法,可以说是遥遥领先的存在。在30维条件下,我们的算法表现依旧非常好,排名也依旧甩开冠军算法一大截。

再来看下收敛曲线图,当然,不得不承认,这些冠军算法也是很有实力的,因此有些收敛曲线图非常密集,不可能像对比其他动物园算法一样差距明显,但总体上差距还是非常大的。这边以100维为例,因篇幅限制,展示几个比较典型的,其他结果可以下载上面的表格查看:

以及比较漂亮的箱型图,可以给你的论文增色不少,吸引审稿人的好感,也可以增加你的工作量:

最后再来看下文件夹中包含的内容:

文件夹内文件,也非常清晰,不像其他人一样乱七八糟的。 您只需运行main1(画收敛曲线图)与main2(箱型图与Excel)文件,维数自行更改,即可运行出上述所有图 片并自动保存,可直接粘贴到word中,非常方便。


创作时间: