配电网重构|基于新颖的启发式算法SOE的随机(SDNR)配电网重构(Matlab代码实现)【算例33节点、84节点、119节点、136节点、417节点】
关键词:配电网重构 SOE算法 多时段随机重构
仿真平台:MATLAB+CPLEX/gurobi平台
优势:代码具有一定的深度和创新性,注释清晰,非烂大街的代码,非常精品!
主要内容:代码主要做的是一个通过配电网重构获取最优网络拓扑的问题,从而有效降低网损,提高经济效益,同时考虑了光伏和负荷的随机性,构建了多时段随机配电网重构模型,考虑到大型网络中计算较为耗时,采用一种基于开断和交换的SOE方法,已获得良好的径向拓扑,采用IEEE多个标准算例进行了测试,更加创新,而且求解的效果更好,结果和文献基本是一致
1 概述
配电网络重构 (DNR) 的目的是确定配电网络的最佳拓扑结构,这是降低网络功率损耗的有效措施。电力负荷需求和光伏(PV)输出是不确定的,并且会随着一天中的时间而变化,并且会影响最佳的网络拓扑。单小时确定性 DNR 无法处理这种不确定性和可变性。因此,本文提出解决多小时随机 DNR (SDNR)。现有的 DNR 解决方法要么不准确,要么过于耗时,因此无法解决大型配电网络的数小时 SDNR。在这方面,提出了一种开关断开和交换(SOE)方法。 SOE 从所有开关闭合的环形网络开始,包括三个步骤。第一步是依次打开开关,直到所有回路都打开。第二步和第三步修改第一步获得的分支状态,以获得更好的径向拓扑。五个测试系统用于验证 SOE 的准确性和快速求解速度,以及多小时 SDNR 相对于单小时确定性 DNR 的优越性。
本文的结构如下
1) 提出了一种新颖的启发式算法,即 SOE,它在准确性和/或求解速度方面优于其他启发式算法、EA 和 MP;这是本文的主要贡献,
2) 首次验证了一个多小时 SDNR 可以获得一个解决方案,该解决方案在最小化能量损失和开关动作次数之间取得了良好的折衷,并且是优于单小时 DNR 和 DDNR。考虑到现有方法不足以解决多小时 SDNR,特别是对于大型系统,SOE 推进了复杂 DNR 解决方法的前沿。
本文的其余部分安排如下。第二节给出了多小时 SDNR 的模型。 SOE 方法在第三节中有详细说明。第四节给出了模拟结果和Matlab代码。结论在第五节中给出。
2 数学模型

编辑

编辑
详细数学模型见第4部分。
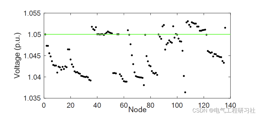
3 运行结果

编辑

编辑

编辑

编辑

编辑 4 Matlab代码及文章详细阅读
本文仅展现部分代码,全部代码见: