【ISAC】基于互信息的集成感知与通信:一种 WMMSE 框架

作品简介
微信公众号:EW Frontier关注可了解更多的雷达、通信、人工智能相关代码。问题或建议,请公众号留言;如果你觉得EW Frontier对你有帮助,欢迎加入我的知识星球或面包多,更多代码等你来学知识星球:https://wx.zsxq.com/dweb2/index/group/15552518881412面包多:https://mbd.pub/o/author-a2mYl2tsbA==/work
终身会员私信办理~
QQ交流群:363269350(如满私信留言获取最新群)
注:本文为参考文章~代码为对其部分内容进行复现~
若有侵权联系删除。

基于互信息的集成感知与通信:一种 WMMSE 框架


一、摘要

本文研究了一种基于加权最小均方误差(WMMSE)的集成感知与通信(ISAC)方法。该方法考虑由一个发射基站和一个接收无线接入点组成的系统,同时服务多个用户与一个感知目标。灵感源于互信息(MI)理论,本文构建了连接感知与通信的统一框架,并在存在杂波干扰的场景下,将通信互信息(CMI)速率与感知互信息(SMI)速率作为性能衡量指标。

具体而言,本文提出一种新型的基于互信息的 WMMSE-ISAC 方法,旨在最大化系统的加权感知与通信总和速率。该最大化过程通过经典的 WMMSE 方法实现,能够更好地应对感知杂波干扰与用户间干扰的影响。数值仿真结果验证了所提方法的有效性,同时证实了感知与通信之间的性能权衡关系。

二、引言

近年来,面向下一代无线网络(如 B5G、6G)的研究热度持续攀升。随着车联网(V2X)、物联网(IoT)等创新应用的推进,未来无线系统有望在目标跟踪、环境监测等各类感知服务中发挥关键作用。为实现这一目标,集成感知与通信(ISAC)技术提供了一种极具潜力的框架,可将感知功能无缝融入通信系统,成为下一代网络的核心技术之一。

在 ISAC 框架下,已有诸多扎实的研究成果,例如部分研究采用可达速率或信干噪比(SINR)作为通信性能指标,但感知性能的衡量指标却较为多样:有的研究用虚警概率(PFA)量化感知性能,有的采用信杂噪比(SCNR),还有的通过克拉美 - 罗界(CRB)评估感知精度。这种 “通信 - 感知” 指标不统一的问题,往往导致系统优化过程复杂;此外,现有多数研究仅聚焦于单天线用户,且忽略了实际场景中严重影响感知性能的杂波干扰,难以应对多天线用户、杂波干扰等复杂场景下的波束成形设计需求。

互信息(MI)的特性为解决上述问题提供了思路。根据相关研究,通信互信息(CMI)具有明确的工程意义 —— 对应最大可达信道编码速率,且与 SINR/SNR 直接相关;而感知互信息(SMI)在物理意义与数学形式上均与 CMI 高度相似。受此启发,本文借鉴信杂噪比(SCNR)衡量感知性能的思路,将基于 SMI 的感知速率(与 SCNR 相关)作为感知指标,从而实现 “通信 - 感知” 指标的统一,使得通信领域的经典优化方法可迁移至 ISAC 系统。

基于此,本文提出一种基于互信息框架的统一 WMMSE-ISAC 算法。该算法针对多天线用户、感知目标及杂波干扰共存的复杂场景,构建波束成形设计问题,在满足最大功率约束的前提下,最大化加权感知与通信总和速率。通过经典的 WMMSE 方法,将原本非凸的优化问题转化为凸问题,最终通过简单的迭代过程求解。数值仿真结果验证了该算法的有效性。

三、结论

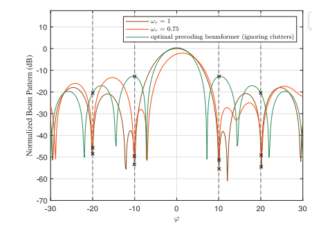
本文提出了一种统一的 WMMSE-ISAC 框架,针对多天线用户、带杂波干扰的感知目标场景,构建了联合感知与通信波束成形设计问题,目标是最大化加权感知与通信总和速率,并通过所提算法完成求解。

结果表明,所提算法能够有效优化不同需求下 ISAC 系统的整体性能:在应对杂波干扰时,可通过波束聚焦目标方向、抑制杂波方向信号,提升感知精度;在感知与通信性能权衡上,能根据权重系数灵活调整 —— 通信优先场景下可实现更高的通信互信息速率,感知优先场景下则能显著提升感知互信息速率,且整体性能优于传统 AW-MSE 基准算法。

该算法为复杂场景(如多天线、杂波干扰)下的 ISAC 系统提供了高效解决方案,未来有望为 6G 及后续网络中的高质量感知与通信融合服务提供技术支撑。

相关学习资料见面包多链接https://mbd.pub/o/author-a2mYl2tsbA==/work

欢迎加入我的知识星球:https://wx.zsxq.com/dweb2/index/group/15552518881412,永久获取更多相关资料、代码。


创作时间: