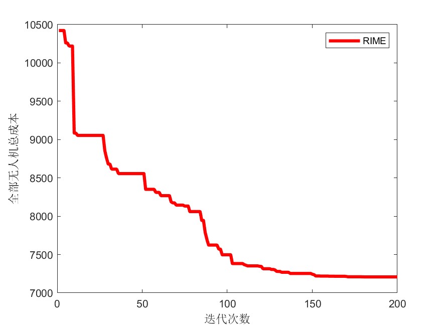
无人机集群路径规划:雾凇优化算法求解无人机集群路径规划,提供MATLAB代码
作品简介
无人机集群路径规划:雾凇优化算法( rime optimization algorithm,RIME)求解无人机集群路径规划,提供MATLAB代码-CSDN博客
部分结果
创作时间: