详细介绍
五种多目标优化算法(SPEA2、MOMA、MODA、MOGOA、MOGWO)性能对比,包含47个多目标测试函数,6种评价指标,MATLAB代码-CSDN博客
(1)Viennet2
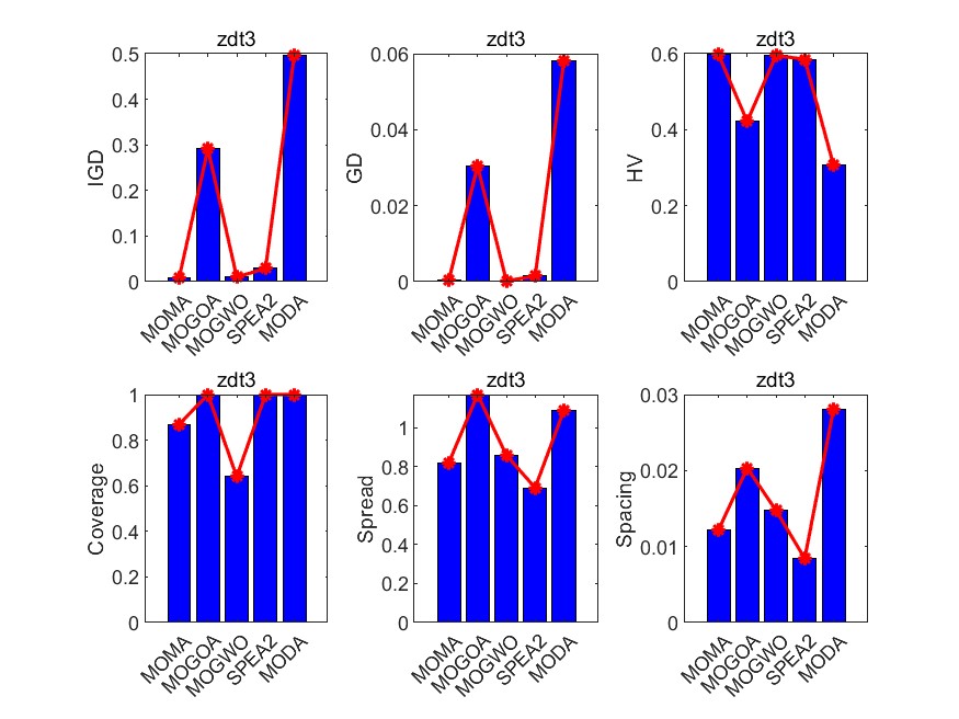
(2)ZDT3
完整MATLAB代码
详细介绍
五种多目标优化算法(SPEA2、MOMA、MODA、MOGOA、MOGWO)性能对比,包含47个多目标测试函数,6种评价指标,MATLAB代码-CSDN博客
(1)Viennet2
(2)ZDT3
完整MATLAB代码