详细介绍
五种多目标优化算法(MODA、NSGA3、MOPSO、MOGWO、NGSA2)性能对比,包含47个多目标测试函数,6种评价指标,MATLAB代码-CSDN博客
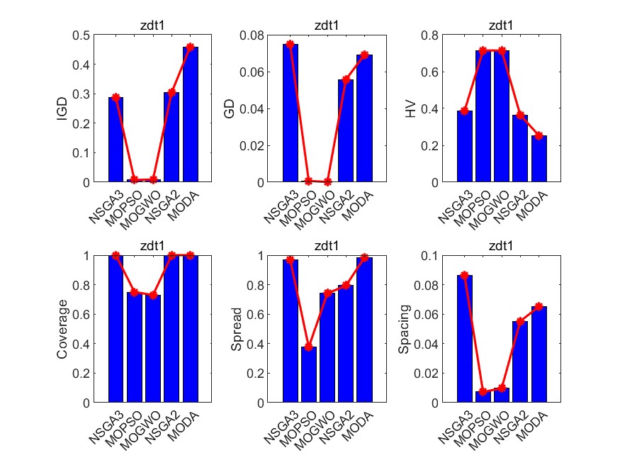
ZDT1:
Viennet2:
完整MATLAB代码
详细介绍
五种多目标优化算法(MODA、NSGA3、MOPSO、MOGWO、NGSA2)性能对比,包含47个多目标测试函数,6种评价指标,MATLAB代码-CSDN博客
ZDT1:
Viennet2:
完整MATLAB代码