单目标应用:基于斑翠鸟优化算法PKO的微电网优化(MATLAB代码)

作品简介

一、微电网模型介绍

微电网多目标优化调度模型简介_vmgpqv-CSDN博客

参考文献

[1]李兴莘,张靖,何宇,等.基于改进粒子群算法的微电网多目标优化调度[J].电力科学与工程, 2021, 37(3):7

二、斑翠鸟优化算法求解微电网

2.1算法简介

斑翠鸟优化算法(Pied Kingfisher Optimizer ,PKO),是由Abdelazim Hussien于2024年提出的一种基于群体的新型元启发式算法,它从自然界中观察到的斑翠鸟独特的狩猎行为和共生关系中汲取灵感。PKO 算法围绕三个不同的阶段构建:栖息/悬停猎物(探索/多样化)、潜水寻找猎物(开发/集约化)和培养共生关系。这些行为方面被转化为数学模型,能够有效地解决不同搜索空间中的各种优化挑战。

参考文献:

[1]Pied Kingfisher Optimizer: A new bio-inspired algorithm for solving numerical optimization and industrial engineering problems

2.2部分代码

close all;
clear ; 
clc;
global P_load; %电负荷
global WT;%风电
global PV;%光伏
%%
TestProblem=1;
[lb,ub,dim,fobj] = GetFunInfo(TestProblem);
SearchAgents_no=50; % Number of search agents
Max_iteration=100; % Maximum number of iterations
[Best_score,Xbest,Convergence_curve]=(SearchAgents_no,Max_iteration,lb,ub,dim,fobj);
%% 画结果图
figure(1)
semilogy(Convergence_curve,'r-','linewidth',2);
legend('');
xlabel('迭代次数')
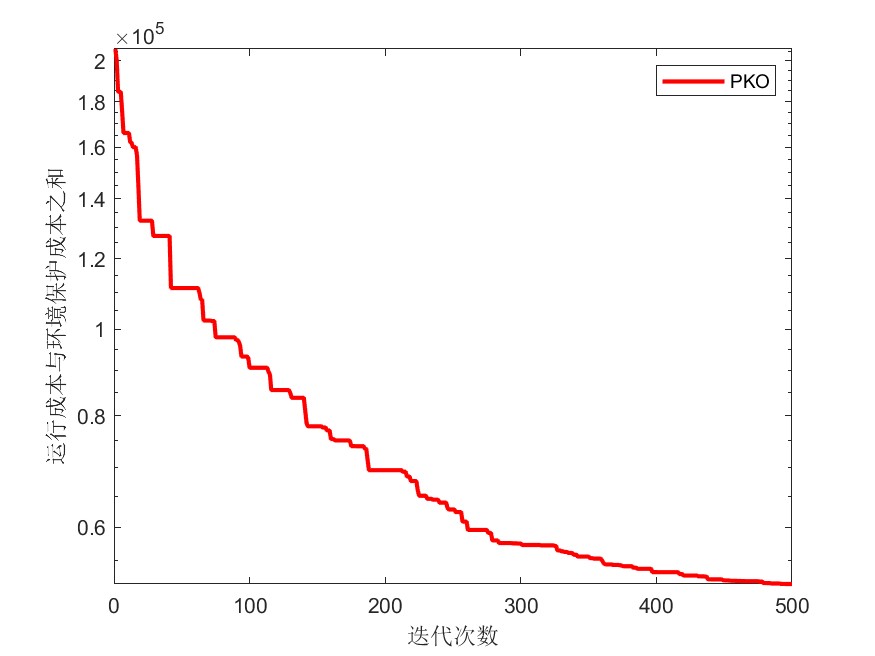
ylabel('运行成本与环境保护成本之和')
saveas(gca,'1.jpg');

2.3部分结果







三、完整MATLAB代码


创作时间: