详细介绍
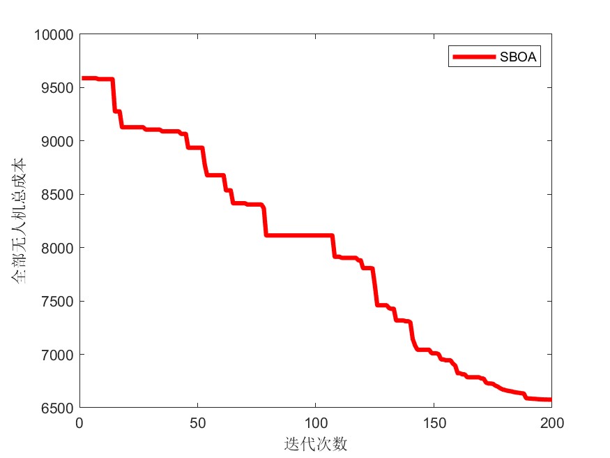
无人机集群路径规划:蛇鹫优化算法(Secretary bird optimization algorithm,SBOA)求解无人机集群路径规划,提供MATLAB代码-CSDN博客
完整MATLAB代码
详细介绍
无人机集群路径规划:蛇鹫优化算法(Secretary bird optimization algorithm,SBOA)求解无人机集群路径规划,提供MATLAB代码-CSDN博客
完整MATLAB代码