无人机集群路径规划:人工原生动物优化器(Artificial Protozoa Optimizer ,APO)求解无人机集群路径规划详细介
无人机集群路径规划:人工原生动物优化器(Artificial Protozoa Optimizer ,APO)求解无人机集群路径规划,提供MATLAB代码-CSDN博客
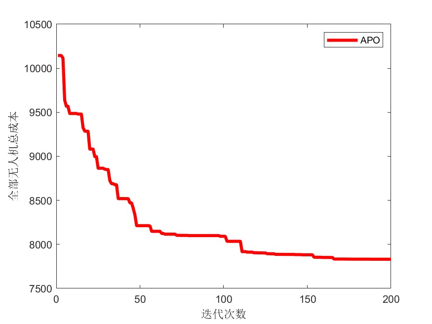
完整MATLAB代码
无人机集群路径规划:人工原生动物优化器(Artificial Protozoa Optimizer ,APO)求解无人机集群路径规划详细介
无人机集群路径规划:人工原生动物优化器(Artificial Protozoa Optimizer ,APO)求解无人机集群路径规划,提供MATLAB代码-CSDN博客
完整MATLAB代码