无人机路径规划:基于鸽群优化算法的无人机三维路径规划MATLAB代码

作品简介

一、无人机模型介绍

无人机三维航迹规划_无人机航迹规划-CSDN博客

二、部分代码

close all
clear
clc
warning ('off')
global model
global gca1 gca2 gca3 gca4
model = CreateModel(); % Create search map and parameters
load('BestPosition5.mat');
load('ConvergenceCurve5.mat');
load('fMin5.mat');
load('cost.mat')
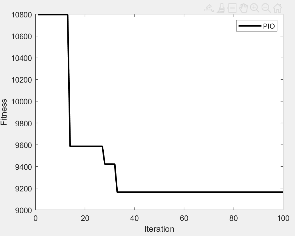
%% 画图
%% 画图
ColStr={'b-','g-','c-','m-','r-','k-'};%算法代码的颜色
LegendStr={'PIO'};
%图1 算法收敛曲线图
gca1=figure(1);
plot(ConvergenceCurve5,ColStr{6},'linewidth',2)
xlabel('Iteration');
ylabel('Fitness');
legend(LegendStr)
dbclear all
%图2和图3 无人机轨迹图
gca2=figure(2);
gca3=figure(3);
[h51,h52]=PlotSolution(BestPosition5,model,ColStr{6},gca2,gca3);
legend(h51,LegendStr,'location','NorthWest');
legend(h52,LegendStr,'location','NorthWest');

三、部分结果


四、完整MATLAB代码



创作时间: