多目标优化算法:多目标教育竞争优化算法(MOECO)求解UF1-UF10,包含6种评价指标,提供完整MATLAB代码

作品简介

多目标优化算法:多目标教育竞争优化算法(MOECO)求解UF1-UF10,包含6种评价指标,提供完整MATLAB代码-CSDN博客







文件夹内包含多目标教育竞争优化算法(MOECO)求解UF1-UF10共10个测试函数及6种评价指标的完整MATLAB代码


一、 参数说明

%testProblem 测试问题序号

%Name 测试问题名称

%dim 测试问题维度

%numObj测试问题目标函数个数

%lb测试问题下界

%ub测试问题上界

%SearchAgents_no 种群大小

%Max_iter最大迭代次数

%Fbest 算法求得的POF

%Xbest 算法求得的POS

%TurePF 测试问题的真实pareto前沿

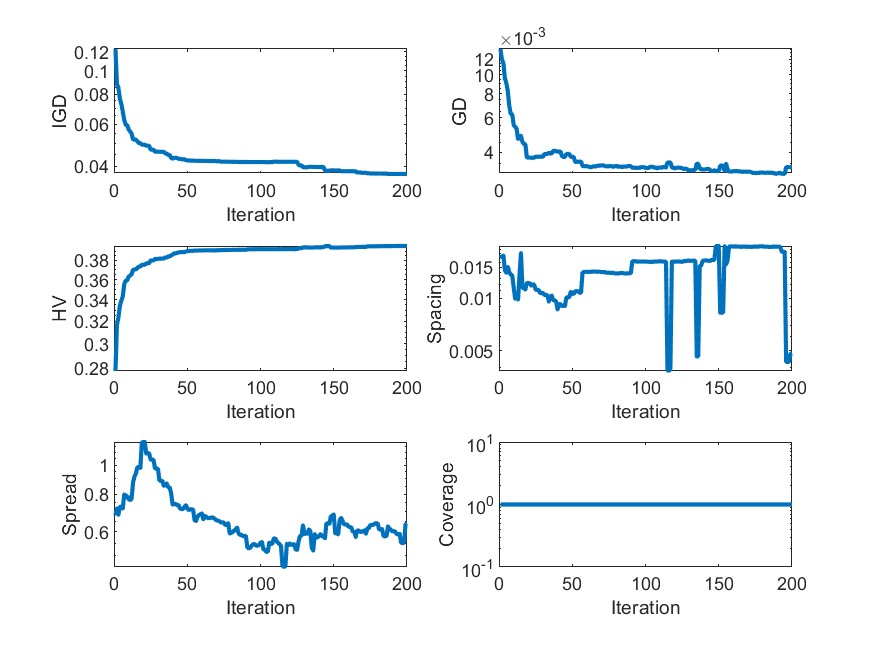
%Result 评价指标随迭代次数的变化值


二、计算评价指标的文件

Coverage

GD

IGD

HV

Spacing

Spread


三、其他文件说明

NDSort 非支配排序

EnvironmentalSelection.m 环境选择机制(参考NSGA-III)

UniformPoint生成参考点或环境选择点

getMOFcn.m计算目标函数,真实pareto前沿等

GetProblemInfo获取测试函数相关信息

initialization算法种群初始化


四、运行代码

点击main.m即可运行



多目标优化相关原理参考文献:

[1] Chen L , Cai X , Jin K ,et al.MOMPA: a high performance multi-objective optimizer based on marine predator algorithm[C]//GECCO '21: Genetic and Evolutionary Computation Conference.2021.DOI:10.1145/3449726.3459581.




创作时间: