无人机集群路径规划:5种最新优化算法(ECO、AOA、SFOA、MGO、PLO)求解无人机集群路径规划,提供MATLAB代码-CSDN博客
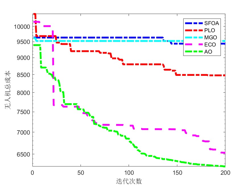
部分结果
完整MATLAB代码