淘金优化算法GRO求解不闭合SD-MTSP,可以修改旅行商个数及起点(提供MATLAB代码)

作品简介

一、淘金优化算法GRO

淘金优化算法(Gold rush optimizer,GRO)由Kamran Zolf于2023年提出,其灵感来自淘金热,模拟淘金者进行黄金勘探行为。淘金优化算法(Gold rush optimizer,GRO)提供MATLAB代码_IT猿手的博客-CSDN博客

参考文献: K. Zolfi. Gold rush optimizer: A new population-based metaheuristic algorithm. Operations Research and Decisions 2023: 33(1), 113-150. DOI 10.37190/ord230108

二、淘金优化算法GRO求解不闭合SD-MTSP

(1)部分代码

close all
clear
clc
AlgorithName='GRO';
%数据集参考文献  REINELT G.TSPLIB-a traveling salesman problem[J].ORSA Journal on Computing,1991,3(4):267-384.
global data StartPoint Tnum
% 导入TSP数据集 bayg29
load('data.txt')
Tnum=4;%旅行商个数(可以自行更改)2-6
StartPoint=1; %选择起点城市(可以自行更改)
Dim=size(data,1)-1;%维度
lb=-10;%下界
ub=10;%上界
fobj=@Fun;%计算总距离
SearchAgents_no=100; % 种群大小(可以修改)
Max_iteration=500; % 最大迭代次数(可以修改)
Algorith=str2func(AlgorithName);
[fMin,bestX,curve]=Algorith(SearchAgents_no,Max_iteration,lb,ub,Dim,fobj); 

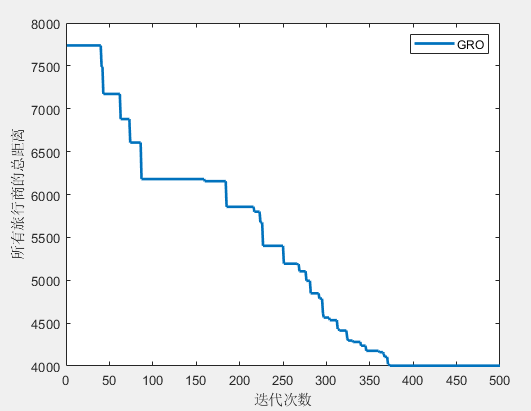
(2)部分结果

第1个旅行商的路径:1->28->8->27->23->7->25->19

第1个旅行商的总路径长度:1005.783277

第2个旅行商的路径:1->24->16->13->4->10->21->5

第2个旅行商的总路径长度:858.778202

第3个旅行商的路径:1->6->12->9->26->29->3->2

第3个旅行商的总路径长度:1059.622574

第4个旅行商的路径:1->20->15->11->22->17->14->18

第4个旅行商的总路径长度:1079.861102

所有旅行商的总路径长度:4004.045155

第1个旅行商的路径:1->28->6->12->9->5->21->26->29->3

第1个旅行商的总路径长度:926.930418

第2个旅行商的路径:1->2->10->13->24->8->27->23->7->25

第2个旅行商的总路径长度:1191.553608

第3个旅行商的路径:1->16->19->4->20->15->18->14->17->22->11

第3个旅行商的总路径长度:1156.546584

所有旅行商的总路径长度:3275.030609

三、完整MATLAB代码


创作时间: