淘金优化算法GRO求解不闭合MD-MTSP,可以修改旅行商个数及起点(提供MATLAB代码)

作品简介

一、淘金优化算法GRO

淘金优化算法(Gold rush optimizer,GRO)由Kamran Zolf于2023年提出,其灵感来自淘金热,模拟淘金者进行黄金勘探行为。淘金优化算法(Gold rush optimizer,GRO)提供MATLAB代码_IT猿手的博客-CSDN博客

参考文献: K. Zolfi. Gold rush optimizer: A new population-based metaheuristic algorithm. Operations Research and Decisions 2023: 33(1), 113-150. DOI 10.37190/ord230108

二、淘金优化算法GRO求解不闭合MD-MTSP

(1)部分代码

close all
clear
clc
Algorithm='GRO';
global data  StartPoint Tnum
%数据集参考文献  REINELT G.TSPLIB-a traveling salesman problem[J].ORSA Journal on Computing,1991,3(4):267-384.
% 导入TSP数据集 bayg29
load('data.txt')
StartPoint=[1 5 15 16 18];%起点城市的序号(可以修改) 必须由小到大排列 (建议:26个旅行商)
Tnum=length(StartPoint);%旅行商个数
Dim=size(data,1)-Tnum;%维度
lb=-10;%下界
ub=10;%上界
fobj=@Fun;%计算总距离
SearchAgents_no=100; % 种群大小(可以修改)
Max_iteration=1000; % 最大迭代次数(可以修改)
algorithm=str2func(Algorithm);
[fMin,bestX,curve]=algorithm(SearchAgents_no,Max_iteration,lb,ub,Dim,fobj);  


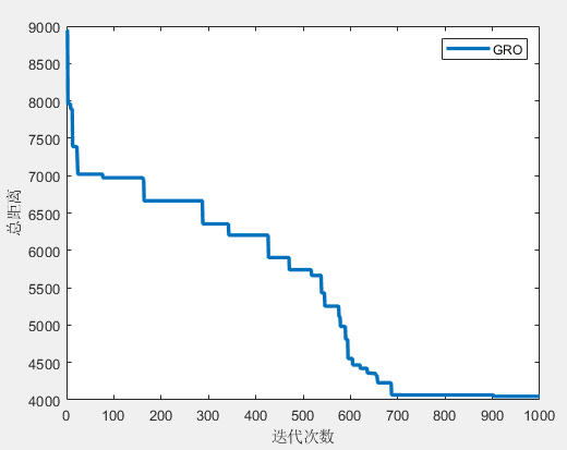
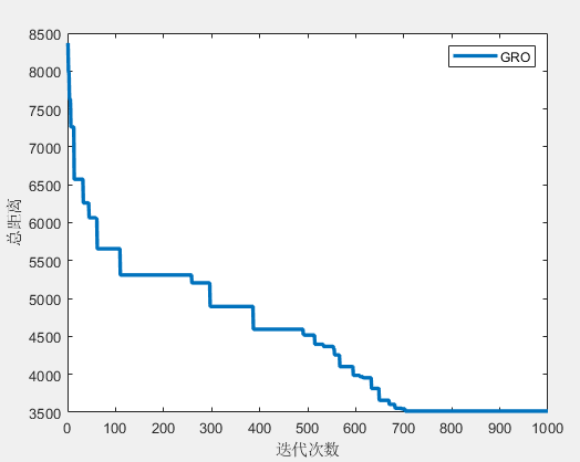
(2)部分结果


第1个旅行商的路径:1->28->6->12->9

第1个旅行商的总路径长度:575.847202

第2个旅行商的路径:5->21->26->29->3

第2个旅行商的总路径长度:687.822652

第3个旅行商的路径:15->4->13->10->2

第3个旅行商的总路径长度:586.003413

第4个旅行商的路径:16->19->11->22->17

第4个旅行商的总路径长度:721.664742

第5个旅行商的路径:18->14->20->25->7->23->27->8->24

第5个旅行商的总路径长度:1476.143624

所有旅行商的总路径长度:4047.481633

第1个旅行商的路径:1->21->2->29->3->26->9

第1个旅行商的总路径长度:869.137504

第2个旅行商的路径:5->6->12->28->8->24->27

第2个旅行商的总路径长度:748.465096

第3个旅行商的路径:15->20->10->19->25->7->23

第3个旅行商的总路径长度:1071.867529

第4个旅行商的路径:16->13->4->18->14->17->22->11

第4个旅行商的总路径长度:826.256619

所有旅行商的总路径长度:3515.726747

三、完整MATLAB代码


创作时间: