五种多目标优化算法(MOAHA、MOGWO、NSWOA、MOPSO、NSGA2)性能对比(提供MATLAB代码)

作品简介

一、5种多目标优化算法简介

1.1MOAHA

1.2MOGWO

1.3NSWOA

1.4MOPSO

1.5NSGA2


二、5种多目标优化算法性能对比

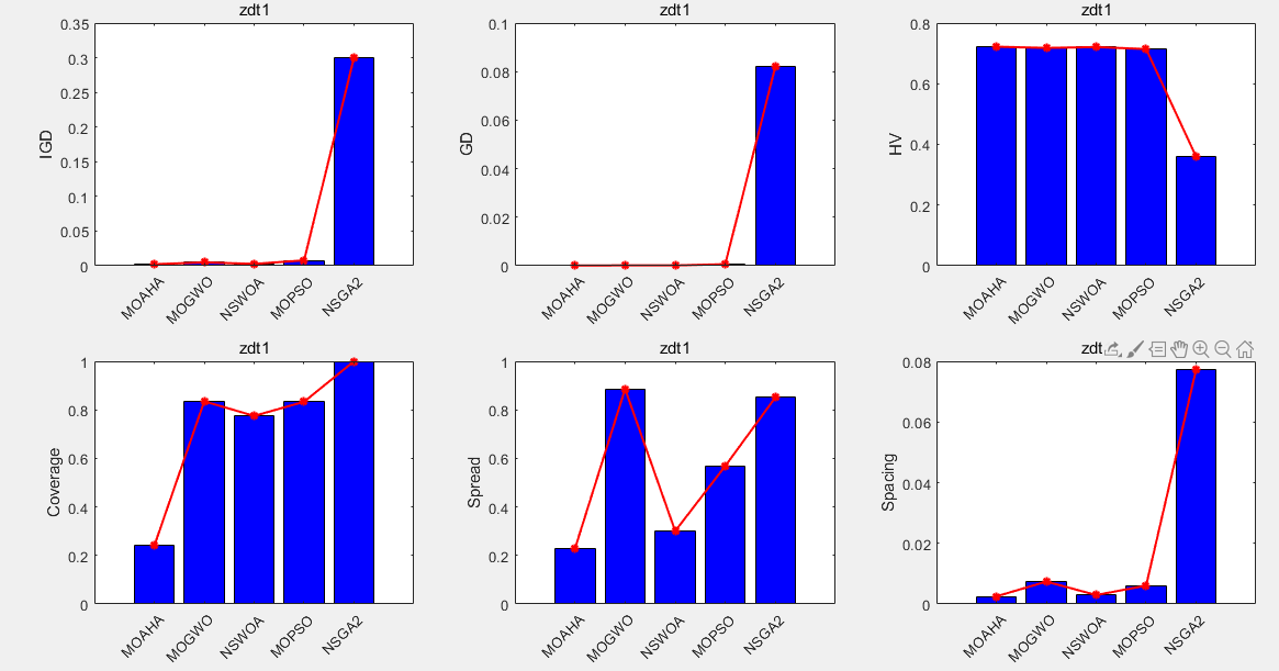
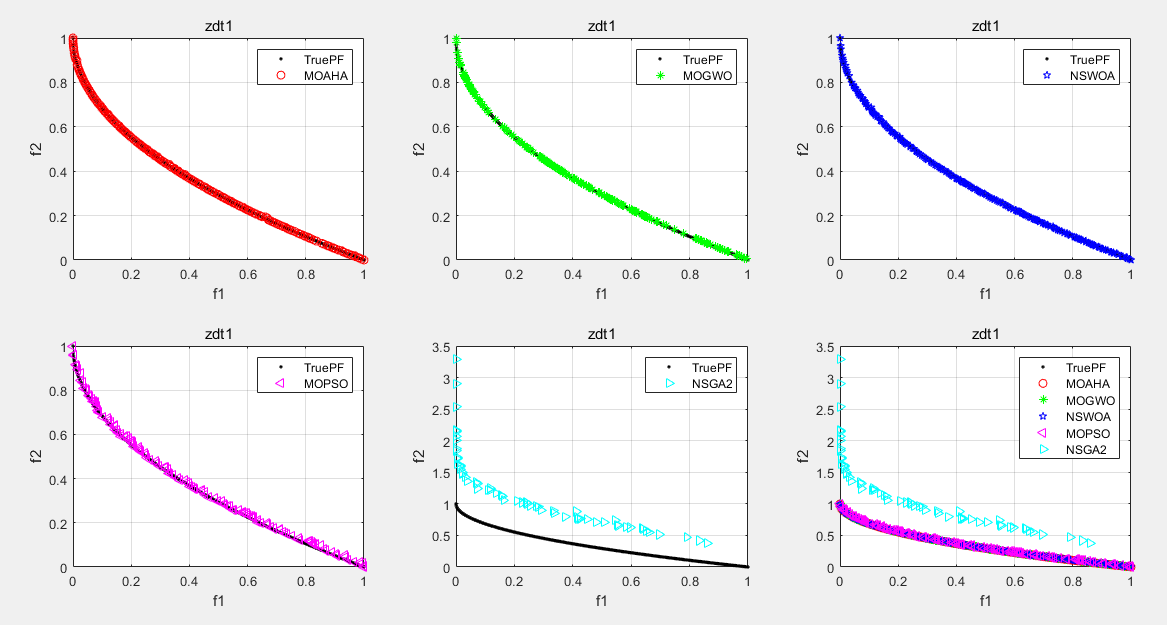
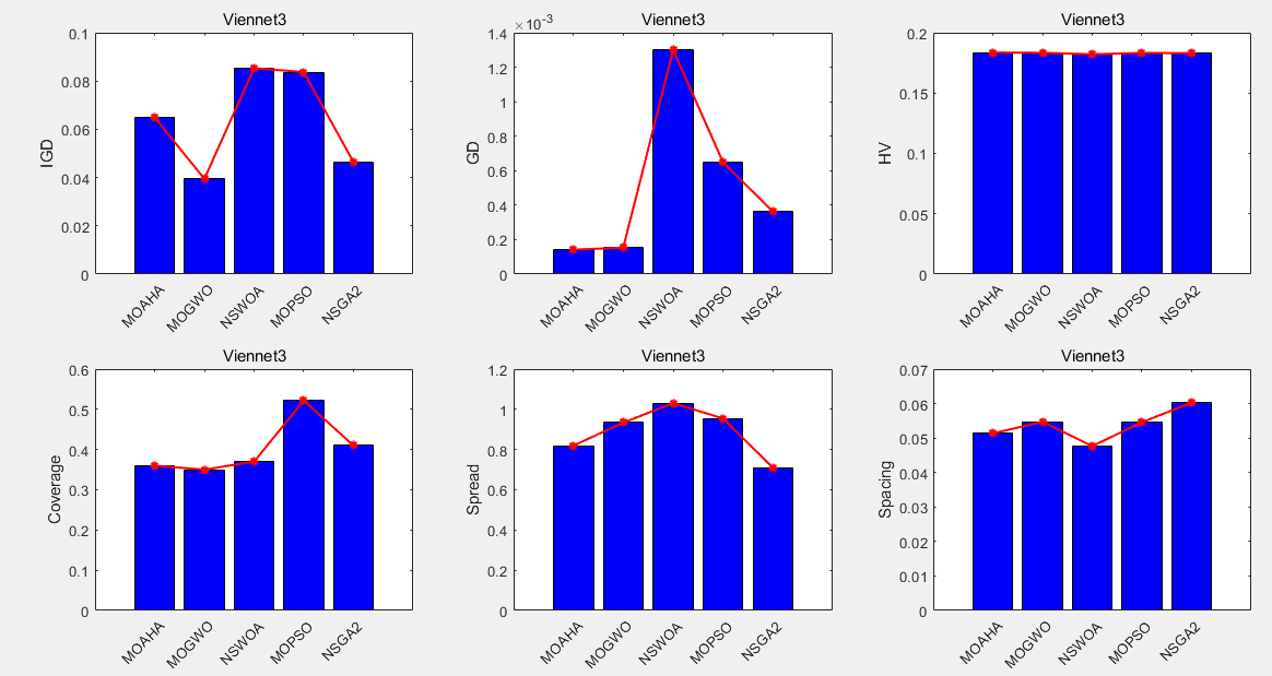
为了测试5种算法的性能将其求解9个多目标测试函数(zdt1、zdt2 、zdt3、 zdt4、 zdt6 、Schaffer、 Kursawe 、Viennet2、 Viennet3),其中Viennet2 与Viennet3的目标为3,其余测试函数的目标为2,并采用6种评价指标(IGD、GD、HV、Coverage、Spread、Spacing)进行评价对比

2.1部分代码

close all;
clear ;
clc;
addpath('./MOAHA/')%添加算法路径
addpath('./MOGWO/')%添加算法路径
addpath('./NSWOA/')%添加算法路径
addpath('./MOPSO/')%添加算法路径
addpath('./NSGA2/')%添加算法路径
%%
% TestProblem测试问题说明:
%一共9个多目标测试函数1-9分别是: zdt1 zdt2 zdt3 zdt4 zdt6 Schaffer  Kursawe Viennet2 Viennet3
%%
TestProblem=3;%测试函数1-9
MultiObj = GetFunInfo(TestProblem);
MultiObjFnc=MultiObj.name;%问题名
% Parameters
params.Np = 100;        % Population size 种群大小
params.Nr = 200;        % Repository size 外部存档
params.maxgen=10;    % Maximum number of generations 最大迭代次数
numOfObj=MultiObj.numOfObj;%目标函数个数
%% 算法求解,分别得到paretoPOS和paretoPOF
[Xbest1,Fbest1] = MOAHA(params,MultiObj);
[Xbest2,Fbest2] = MOGWO(params,MultiObj);
[Xbest3,Fbest3]  = NSWOA(params,MultiObj);
[Xbest4,Fbest4] = MOPSO(params,MultiObj);
[Xbest5,Fbest5]  = NSGA2(params,MultiObj);
FbestData(1).data=Fbest1;
FbestData(2).data=Fbest2;
FbestData(3).data=Fbest3;
FbestData(4).data=Fbest4;
FbestData(5).data=Fbest5;
%% 获取测试函数的真实pareto前沿
True_Pareto=MultiObj.truePF;
%% 计算每个算法的评价指标
% ResultData的值分别是IGD、GD、HV、Coverage、Spread、Spacing
Fbest=Fbest1;
ResultData(1,:)=[IGD(Fbest,True_Pareto),GD(Fbest,True_Pareto),HV(Fbest,True_Pareto),Coverage(Fbest,True_Pareto),Spread(Fbest,True_Pareto),Spacing(Fbest,True_Pareto)];
Fbest=Fbest2;
ResultData(2,:)=[IGD(Fbest,True_Pareto),GD(Fbest,True_Pareto),HV(Fbest,True_Pareto),Coverage(Fbest,True_Pareto),Spread(Fbest,True_Pareto),Spacing(Fbest,True_Pareto)];
Fbest=Fbest3;
ResultData(3,:)=[IGD(Fbest,True_Pareto),GD(Fbest,True_Pareto),HV(Fbest,True_Pareto),Coverage(Fbest,True_Pareto),Spread(Fbest,True_Pareto),Spacing(Fbest,True_Pareto)];
Fbest=Fbest4;
ResultData(4,:)=[IGD(Fbest,True_Pareto),GD(Fbest,True_Pareto),HV(Fbest,True_Pareto),Coverage(Fbest,True_Pareto),Spread(Fbest,True_Pareto),Spacing(Fbest,True_Pareto)];
Fbest=Fbest5;
ResultData(5,:)=[IGD(Fbest,True_Pareto),GD(Fbest,True_Pareto),HV(Fbest,True_Pareto),Coverage(Fbest,True_Pareto),Spread(Fbest,True_Pareto),Spacing(Fbest,True_Pareto)];


%% 画图
PlotFigure;

2.2部分结果

(2)以ZDT1为例:

(2)以Viennet3为例:

三、完整MATLAB代码

文件夹内包含完整MATLAB代码及五种算法参考文献,代码点击main.m即可运行,包含注释。


创作时间: