微分几何学习资料大合集

作品简介

当你购买这个作品时,你将获得一整套微分几何学习资源,这将是你学习和复习微分几何的绝佳选择。首先,主教材《微分几何》由彭家贵和陈卿合著,是你学习微分几何的主要指南。而附带的答案将帮助你检验自己的学习成果,确保你在学习过程中不会能及时解决你的疑惑。

此外,还有一本名为《微分几何初步》的拓展教材,由陈维桓老师编写。这本书内容更加全面,例子更加丰富能够帮助你更好地理解和应用微分几何知识。

除了教材和拓展教材,还有一份精编解析与拓展习题的《微分几何例题详解和习题汇编》,适合用于课外练习和拓展。

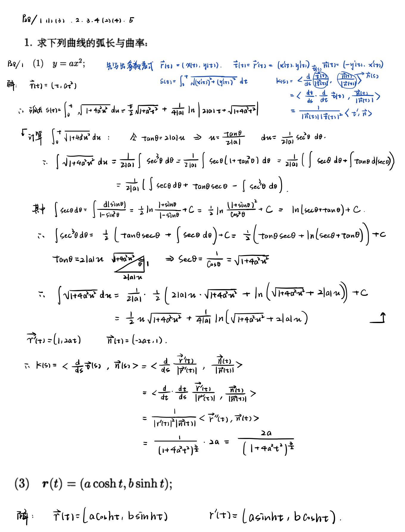
此外,还有一份《微分几何作业》记录,可以帮助你及时回顾和巩固所学知识,以及一份《复习期末提纲》和《知识清单》,方便你在考前快速回顾和查阅各个知识点。

最后,还有一份根据兮兮的期末考试进行的期末回忆版题目,可以方便你进行模拟练习,巩固所学知识。

总之,购买本作品后,你将获得一整套微分几何学习资源,包括主教材、拓展教材、答案、习题解析、作业记录和复习资料,能够帮助你系统地学习和复习微分几何知识,提高学习效率和成绩。无论是日常学习还是考前复习,这些资源都将成为你学习路上的得力助手。











创作时间:2024-02-06 22:24:34