无人机航迹规划:五种最新智能优化算法(LSO、SWO、KOA、GRO、LO)求解无人机路径规划MATLAB

作品简介

一、五种算法(LSO、SWO、KOA、GRO、LO)简介

1、光谱优化算法LSO

光谱优化算法(Light Spectrum Optimizer,LSO)由Mohamed Abdel-Basset等人于2022年提出。https://blog.csdn.net/weixin_46204734/article/details/132221896

参考文献:

[1]Abdel-Basset M, Mohamed R, Sallam KM, Chakrabortty RK. Light Spectrum Optimizer: A Novel Physics-Inspired Metaheuristic Optimization Algorithm. Mathematics. 2022; 10(19):3466. Mathematics | Free Full-Text | Light Spectrum Optimizer: A Novel Physics-Inspired Metaheuristic Optimization Algorithm

2、蜘蛛蜂优化算法SWO

蜘蛛蜂优化算法(Spider wasp optimizer,SWO)由Mohamed Abdel-Basset等人于2023年提出,该算法模型雌性蜘蛛蜂的狩猎、筑巢和交配行为,具有搜索速度快,求解精度高的优势。https://blog.csdn.net/weixin_46204734/article/details/133999858

参考文献:

[1]Abdel-Basset, M., Mohamed, R., Jameel, M. et al. Spider wasp optimizer: a novel meta-heuristic optimization algorithm. Artif Intell Rev (2023). Spider wasp optimizer: a novel meta-heuristic optimization algorithm | SpringerLink

3、开普勒优化算法KOA

开普勒优化算法(Kepler optimization algorithm,KOA)由Mohamed Abdel-Basset等人于2023年提出。https://blog.csdn.net/weixin_46204734/article/details/131743115

参考文献:

Mohamed Abdel-Basset, Reda Mohamed, Shaimaa A. Abdel Azeem, Mohammed Jameel, Mohamed Abouhawwash, Kepler optimization algorithm: A new metaheuristic algorithm inspired by Kepler’s laws of planetary motion, Knowledge-Based Systems, 2023. DOI: Redirecting

4、淘金优化算法GRO

淘金优化算法(Gold rush optimizer,GRO)由Kamran Zolf于2023年提出,其灵感来自淘金热,模拟淘金者进行黄金勘探行为。https://blog.csdn.net/weixin_46204734/article/details/134023570

参考文献:

K. Zolfi. Gold rush optimizer: A new population-based metaheuristic algorithm. Operations Research and Decisions 2023: 33(1), 113-150. DOI 10.37190/ord230108

5、狐猴优化算法

狐猴优化算法(Lemurs Optimizer,LO)由Ammar Kamal Abasi等人于2022年提出,该算法模拟狐猴的跳跃和跳舞行为,具有结构简单,思路新颖,搜索速度快等优势。https://blog.csdn.net/weixin_46204734/article/details/133391050

参考文献:

[1]Abasi AK, Makhadmeh SN, Al-Betar MA, Alomari OA, Awadallah MA, Alyasseri ZAA, Doush IA, Elnagar A, Alkhammash EH, Hadjouni M. Lemurs Optimizer: A New Metaheuristic Algorithm for Global Optimization. Applied Sciences. 2022; 12(19):10057. Applied Sciences | Free Full-Text | Lemurs Optimizer: A New Metaheuristic Algorithm for Global Optimization

二、模型简介

单个无人机三维路径规划问题及其建模_IT猿手的博客-CSDN博客

参考文献

[1]胡观凯,钟建华,李永正,黎万洪.基于IPSO-GA算法的无人机三维路径规划[J].现代电子技术,2023,46(07):115-120

三、LSO、SWO、KOA、GRO、LO求解无人机路径规划

(1)部分代码

close all
clear  
clc
、warning off;
%% 三维路径规划模型定义
global startPos goalPos N
N=2;%待优化点的个数(可以修改)
startPos = [10, 10, 80]; %起点(可以修改)
goalPos = [80, 90, 150]; %终点(可以修改)
SearchAgents_no=30; % 种群大小(可以修改)
Function_name='F1'; %F1:随机产生地图 F2:导入固定地图
Max_iteration=100; %最大迭代次数(可以修改)
% Load details of the selected benchmark function
[lb,ub,dim,fobj]=Get_Functions_details(Function_name);
AlgorithmName={'LSO','SWO','KOA','GRO','LO'};%算法名称
addpath('./AlgorithmCode/')%添加算法路径
bestFit=[];%保存各算法的最优适应度值
for i=1:size(AlgorithmName,2)%遍历每个算法,依次求解当前问题
Algorithm=str2func(AlgorithmName{i});%获取当前算法名称,并将字符转换为函数
[Best_score,Best_pos,Convergence_curve]=Algorithm(SearchAgents_no,Max_iteration,lb,ub,dim,fobj);%当前算法求解
%将当前算法求解结果放入data中
data(i).Best_score=Best_score;%保存该算法的Best_score到data
data(i).Best_pos=Best_pos;%保存该算法的Best_pos到data
data(i).Convergence_curve=Convergence_curve;%保存该算法的Convergence_curve到data
bestFit=[bestFit data(i).Best_score];
end

%%  画各算法的直方图
figure 
bar(bestFit)
ylabel('无人机飞行路径长度');
set(gca,'xtick',1:1:size(AlgorithmName,2));
set(gca,'XTickLabel',AlgorithmName)
saveas(gcf,'./Picture/直方图.jpg') %将图片保存到Picture文件夹下面


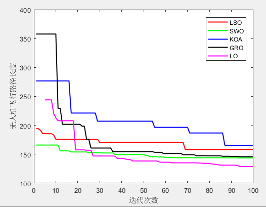
%%  画收敛曲线
strColor={'r-','g-','b-','k-','m-','c-','y-'};
figure
for i=1:size(data,2)
plot(data(i).Convergence_curve,strColor{i},'linewidth',1.5)%semilogy
hold on
end
xlabel('迭代次数');
ylabel('无人机飞行路径长度');
legend(AlgorithmName,'Location','Best')
saveas(gcf,'./Picture/收敛曲线.jpg') %将图片保存到Picture文件夹下面


%% 显示三维图并保存
path=plotFigure(data,AlgorithmName,strColor);%path是各算法求解的无人机路径
saveas(gcf,'./Picture/路径曲线(三维).jpg') %将图片保存到Picture文件夹下面


%% 显示二维图并保存
view(2)
saveas(gcf,'./Picture/路径曲线(二维).jpg') %将图片保存到Picture文件夹下面

(2)部分结果

四、完整MATLAB代码

文件夹内包含完整MATLAB代码,及使用说明,可以修改无人机的起始点及地图。


创作时间: