多目标优化算法:多目标小龙虾优化算法(MOCOA)MATLAB

作品简介

一、小龙虾优化算法COA

小龙虾优化算法(Crayfsh optimization algorithmCOA)由Jia Heming 等人于2023年提出,该算法模拟小龙虾的避暑、竞争和觅食行为,具有搜索速度快,搜索能力强,能够有效平衡全局搜索和局部搜索的能力。

参考文献:

[1] Jia, H., Rao, H., Wen, C. et al. Crayfish optimization algorithm. Artif Intell Rev (2023). https://doi.org/10.1007/s10462-023-10567-4

二、多目标小龙虾优化算法MOCOA

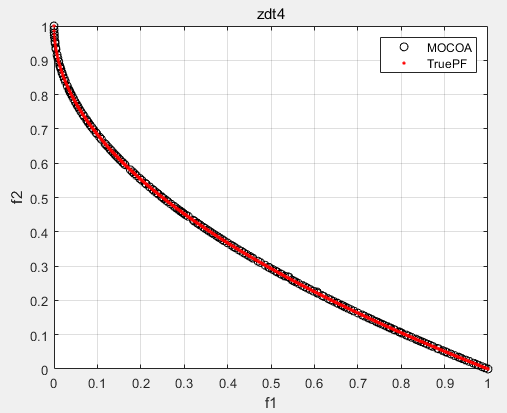
多目标小龙虾优化算法(Multi-Objective Crayfsh optimization algorithm,MOCOA)由小龙虾优化算法融合多目标框架而成。将MOCOA用于求解46个多目标测试函数(ZDT1、ZDT2、ZDT3、ZDT4、ZDT6、DTLZ1-DTLZ7、WFG1-WFG10、UF1-UF10、CF1-CF10、Kursawe、Poloni、Viennet2、Viennet3)以及1个工程应用(盘式制动器设计),并采用IGD、GD、HV、SP进行评价。

(1)部分代码

close all;
clear ; 
clc;
%%
% TestProblem测试问题说明:
%一共46个多目标测试函数(1-46)+1个工程应用(47),详情如下:
%1-5:ZDT1、ZDT2、ZDT3、ZDT4、ZDT6
%6-12:DTLZ1-DTLZ7
%13-22:wfg1-wfg10
%23-32:uf1-uf10
%33-42:cf1-cf10
%43-46:Kursawe、Poloni、Viennet2、Viennet3
%47 盘式制动器设计 https://blog.csdn.net/weixin_46204734/article/details/124051747


%%
TestProblem=1;%1-47
MultiObj = GetFunInfo(TestProblem);
MultiObjFnc=MultiObj.name;%问题名
% Parameters
params.Np = 100;        %  种群大小
params.Nr = 200;        % 外部存档中最大数目,可适当调整大小,越大,最终获得的解数目越多  (特别注意:params.Nr 不得小于params.Np)
params.maxgen =60;    % 最大迭代次数




REP = MOCOA(params,MultiObj);
%% 画结果图
figure
if(size(REP.pos_fit,2)==2)
    h_rep = plot(REP.pos_fit(:,1),REP.pos_fit(:,2),'ok'); hold on;
       if(isfield(MultiObj,'truePF'))
            h_pf = plot(MultiObj.truePF(:,1),MultiObj.truePF(:,2),'.r'); hold on;
            legend('MOCOA','TruePF');
       else
           legend('MOCOA');
       end


        grid on; xlabel('f1'); ylabel('f2');
end
if(size(REP.pos_fit,2)==3)
    h_rep = plot3(REP.pos_fit(:,1),REP.pos_fit(:,2),REP.pos_fit(:,3),'ok'); hold on;
      if(isfield(MultiObj,'truePF'))
            h_pf = plot3(MultiObj.truePF(:,1),MultiObj.truePF(:,2),MultiObj.truePF(:,3),'.r'); hold on;
            legend('MOCOA','TruePF');
      else
          legend('MOCOA');
      end
        grid on; xlabel('f1'); ylabel('f2'); zlabel('f3');
end
title(MultiObjFnc)


%% 求解结果 bestX  bestF
bestX=REP.pos;%POX
bestF=REP.pos_fit;%POF
save([MultiObjFnc '-bestX.txt'],'bestX','-ascii')
save([MultiObjFnc '-bestF.txt'],'bestF','-ascii')


%% 计算评价指标IGD、GD、HV、Spacing
Obtained_Pareto=REP.pos_fit;
if(isfield(MultiObj,'truePF'))%判断是否有参考的PF
True_Pareto=MultiObj.truePF;
%%  Metric Value
% ResultData的值分别是IGD、GD、HV、Spacing  (HV越大越好,其他指标越小越好)
ResultData=[IGD(Obtained_Pareto,True_Pareto),GD(Obtained_Pareto,True_Pareto),HV(Obtained_Pareto,True_Pareto),Spacing(Obtained_Pareto)];
else
    %计算每个算法的Spacing,Spacing越小说明解集分布越均匀
    ResultData=Spacing(Obtained_Pareto);%计算的Spacing
end
save([MultiObjFnc '-MetricValue.txt'],'ResultData','-ascii')%保存评价指标的值
%%
% Display info
disp('Repository fitness values are stored in REP.pos_fit');
disp('Repository particles positions are store in REP.pos');

(2)部分结果

三、完整MATLAB代码

文件夹内包含MOCOA求解46个多目标测试函数(ZDT1、ZDT2、ZDT3、ZDT4、ZDT6、DTLZ1-DTLZ7、WFG1-WFG10、UF1-UF10、CF1-CF10、Kursawe、Poloni、Viennet2、Viennet3)以及1个工程应用(盘式制动器设计)的全部MATLAB代码,同时提供评价指标IGD、GD、HV和SP的完整程序,点击Main.m即可运行。提供使用说明。


创作时间: