粒子群优化算法(PSO)求解微电网优化MATLAB

作品简介

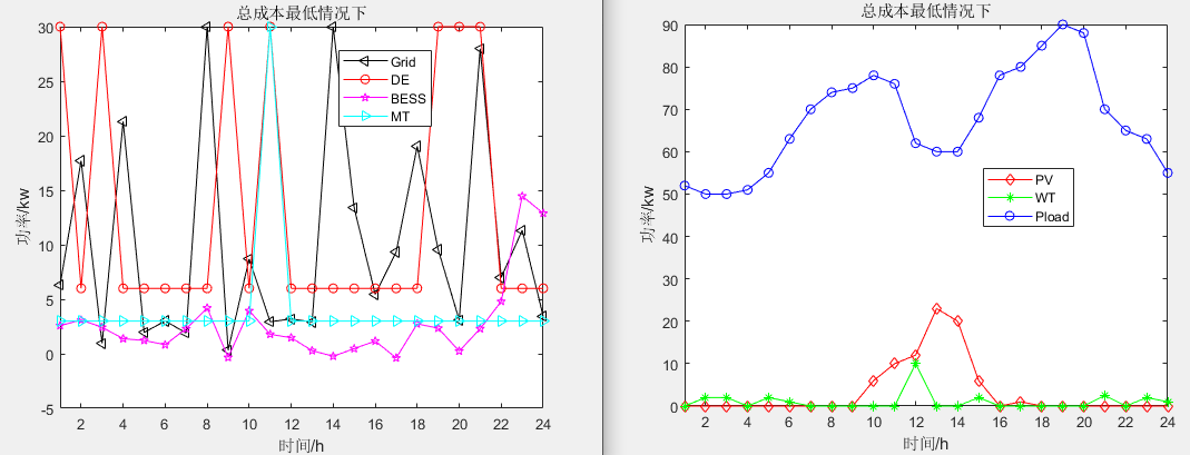
一、微网系统运行优化模型

微电网优化模型介绍:

微电网多目标优化调度模型简介_IT猿手的博客-CSDN博客

二、粒子群优化算法(PSO)求解微电网优化

(1)部分代码

close all;
clear ; 
clc;
global P_load; %电负荷
global WT;%风电
global PV;%光伏
%%
TestProblem=1;
[lb,ub,dim,fobj] = GetFunInfo(TestProblem);
SearchAgents_no=50; % Number of search agents
Max_iteration=500; % Maximum number of iterations
[Best_score,Xbest,Convergence_curve]=PSO(SearchAgents_no,Max_iteration,lb,ub,dim,fobj);


%% 画结果图
figure(1)
semilogy(Convergence_curve,'r-','linewidth',2);
legend('PSO');
xlabel('迭代次数')
ylabel('运行成本与环境保护成本之和')

(2)部分结果

三、完整MATLAB代码

文件夹内包含完整MATLAB代码,点击main.m即可运行。


创作时间: