多目标优化算法:多目标棕熊优化算法(MOBOA)MATLAB

作品简介

一、棕熊优化算法

棕熊优化算法( Brown-bear Optimization Algorithm,BOA)由Tapan Prakash等人于2022年提出,其设计思想受模拟棕熊的气味标记和嗅探行为所启发,具有寻优速度快,求解精度高等优势。

参考文献:

[1] Tapan Prakash, Praveen Prakash Singh, Vinay Pratap  Singh, and Sri Niwas Singh. "A Novel Brown-bear  Optimization Algorithm for Solving Economic Dispatch Problem." In Advanced Control & Optimization Paradigms for Energy System Operation and Management, , 2022, pp.137-164.

二、多目标棕熊优化算法

多目标优化算法:多目标棕熊优化算法(Multi-objective Brown-bear Optimization Algorithm, MOBOA)MATLAB - 知乎 (zhihu.com)

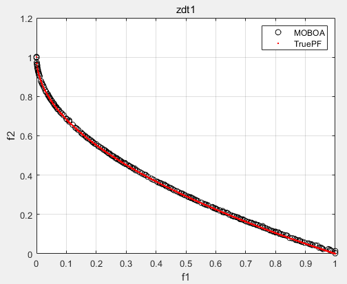
多目标棕熊优化算法(Multi-objective Brown-bear Optimization Algorithm, MOBOA)由BOA融合多目标策略而成,为了验证所提的MOBOA的有效性,将其在46个多目标测试函数(ZDT1、ZDT2、ZDT3、ZDT4、ZDT6、DTLZ1-DTLZ7、WFG1-WFG10、UF1-UF10、CF1-CF10、Kursawe、Poloni、Viennet2、Viennet3)以及1个工程应用(盘式制动器设计)上实验,并采IGD,GD,HV,SP四种评价指标进行评价。

部分代码:

close all;
clear ; 
clc;
%%
% TestProblem测试问题说明:
%一共46个多目标测试函数(1-46)+1个工程应用(47),详情如下:
%1-5:ZDT1、ZDT2、ZDT3、ZDT4、ZDT6
%6-12:DTLZ1-DTLZ7
%13-22:wfg1-wfg10
%23-32:uf1-uf10
%33-42:cf1-cf10
%43-46:Kursawe、Poloni、Viennet2、Viennet3
%47 盘式制动器设计 https://blog.csdn.net/weixin_46204734/article/details/124051747


%%
TestProblem=1;%1-47
MultiObj = GetFunInfo(TestProblem);
MultiObjFnc=MultiObj.name;%问题名
% Parameters
params.Np = 200;        % Population size 种群大小
params.Nr = 200;        % Repository size 外部存档中最大数目,可适当调整大小,越大,最终获得的解数目越多
params.maxgen =200;    % Maximum number of generations 最大迭代次数




REP = MOBOA(params,MultiObj);
%% 画结果图
figure
if(size(REP.pos_fit,2)==2)
    h_rep = plot(REP.pos_fit(:,1),REP.pos_fit(:,2),'ok'); hold on;
       if(isfield(MultiObj,'truePF'))
            h_pf = plot(MultiObj.truePF(:,1),MultiObj.truePF(:,2),'.r'); hold on;
            legend('MOBOA','TruePF');
       else
           legend('MOBOA');
       end


        grid on; xlabel('f1'); ylabel('f2');
end
if(size(REP.pos_fit,2)==3)
    h_rep = plot3(REP.pos_fit(:,1),REP.pos_fit(:,2),REP.pos_fit(:,3),'ok'); hold on;
      if(isfield(MultiObj,'truePF'))
            h_pf = plot3(MultiObj.truePF(:,1),MultiObj.truePF(:,2),MultiObj.truePF(:,3),'.r'); hold on;
            legend('MOBOA','TruePF');
      else
          legend('MOBOA');
      end
        grid on; xlabel('f1'); ylabel('f2'); zlabel('f3');
end
title(MultiObjFnc)


Obtained_Pareto=REP.pos_fit;
if(isfield(MultiObj,'truePF'))%判断是否有参考的PF
True_Pareto=MultiObj.truePF;
%%  Metric Value
% ResultData的值分别是IGD、GD、HV、Spacing  (HV越大越好,其他指标越小越好)
ResultData=[IGD(Obtained_Pareto,True_Pareto),GD(Obtained_Pareto,True_Pareto),HV(Obtained_Pareto,True_Pareto),Spacing(Obtained_Pareto)];
else
    %计算每个算法的Spacing,Spacing越小说明解集分布越均匀
    ResultData=Spacing(Obtained_Pareto);%计算的Spacing
end
%%
% Display info
disp('Repository fitness values are stored in REP.pos_fit');
disp('Repository particles positions are store in REP.pos');




    

部分结果:

三、完整MATLAB代码

文件夹内包含MOBOA求解46个多目标测试函数(ZDT1、ZDT2、ZDT3、ZDT4、ZDT6、DTLZ1-DTLZ7、WFG1-WFG10、UF1-UF10、CF1-CF10、Kursawe、Poloni、Viennet2、Viennet3)、1个工程应用(盘式制动器设计),以及IGD,GD,HV,SP四种评价指标的完整MATLAB代码,同时包含绝大部分测试函数的真实POF。



创作时间: