1.软件版本
MATLAB2017b
2.运行方法
使用MATLAB2017b版本仿真,运行文件夹中的tops.m或者main.m。运行时注意matlab左侧的当前文件夹窗口必须是当前工程所在路径。具体操作观看提供的程序操作视频跟着操作。视频播放使用windows media player播放。
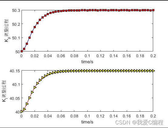
3.部分仿真截图



4.内容简介
永磁同步电机(Permanent Magnet Synchronous Motor,PMSM)是一种高效、精度高、响应速度快的电机,广泛应用于现代工业和民用领域。PMSM的位置控制是PMSM控制的核心问题之一,其优化控制算法的研究一直是热门的研究方向之一。近年来,随着强化学习技术的发展,基于强化学习的PMSM位置控制器逐渐成为研究的热点。本文将从数学公式和原理、算法优缺点、实现过程以及与其他类似算法的对比等方面详细介绍基于强化学习的PMSM位置控制器。