包括程序操作录像
1.软件版本
matlab2022a
2.运行方法
使用matlab2022a或者高版本仿真,运行文件夹中的tops.m或者main.m。运行时注意matlab左侧的当前文件夹窗口必须是当前工程所在路径。具体操作观看提供的程序操作视频跟着操作。视频播放使用windows media player播放。
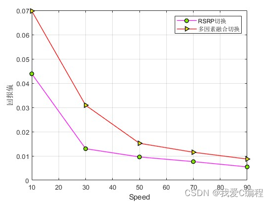
3.部分仿真截图





4.内容简介
异构网络垂直切换是指在不同的移动通信网络之间进行快速自适应切换的技术。在异构网络中,不同类型的网络可能具有不同的带宽、延迟、信号强度等性能指标,因此在不同的应用场景下,需要采用不同的网络来实现最佳的通信效果。异构网络垂直切换技术可以通过多属性决策判决算法来实现。多属性决策判决算法是一种能够将多个属性的权重考虑进来,从而得出一个最优的决策结果的决策分析方法。在异构网络垂直切换中,多属性决策判决算法可以用来确定何时进行网络切换以及切换到哪个网络。