1.软件版本
matlab2022a/MATLAB2011a
2.运行方法
使用matlab2022a运行文件夹中的tops.m或者main.m。运行时注意matlab左侧的当前文件夹窗口必须是当前工程所在路径。具体操作观看提供的程序操作视频跟着操作。视频播放使用windows media player播放。
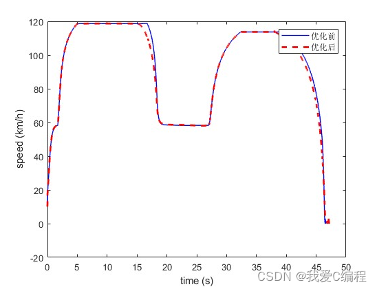
3.部分仿真截图





4.内容简介
随着智能交通系统的发展,驾驶员驾驶意图的识别越来越受到人们的关注。准确识别驾驶员的驾驶意图对于提高道路安全和实现自动驾驶技术具有重要意义。提出了一种基于隐马尔科夫模型(HMM)的驾驶员驾驶意图识别方法,通过对驾驶员的行为数据进行建模和分析,实现对驾驶员驾驶意图的实时识别。HMM是一种统计模型,可以用于处理具有时序结构的数据。在许多领域,如语音识别、手写识别等,HMM已经取得了显著的研究成果。本文提出了一种基于HMM的驾驶员驾驶意图识别方法,通过对驾驶员的行为数据进行建模和分析,实现对驾驶员驾驶意图的实时识别。