无人机三维路径规划:蜘蛛蜂优化算法(Spider wasp optimizer,SWO)

作品简介

一、蜘蛛蜂优化算法

蜘蛛蜂优化算法(Spider wasp optimizer,SWO)由Mohamed Abdel-Basset等人于2023年提出,该算法模型雌性蜘蛛蜂的狩猎、筑巢和交配行为,具有搜索速度快,求解精度高的优势。

参考文献:

[1]Abdel-Basset, M., Mohamed, R., Jameel, M. et al. Spider wasp optimizer: a novel meta-heuristic optimization algorithmArtif Intell Rev (2023). https://doi.org/10.1007/s10462-023-10446-y

二、无人机模型

无人机三维航迹规划_无人机航迹规划_IT猿手的博客-CSDN博客

参考文献:

[1]吕石磊,范仁杰,李震,陈嘉鸿,谢家兴.基于改进蝙蝠算法和圆柱坐标系的农业无人机航迹规划[J/OL].农业机械学报:1-19

[2]褚宏悦,易军凯.无人机安全路径规划的混沌粒子群优化研究[J/OL].控制工程:1-8

[3]MD Phung, Ha Q P . Safety-enhanced UAV Path Planning with Spherical Vector-based Particle Swarm Optimization: arXiv, 10.1016/j.asoc.2021.107376[P]. 2021.

[4]陈明强,李奇峰,冯树娟等.基于改进粒子群算法的无人机三维航迹规划[J].无线电工程,2023,53(02):394-400.

[5]徐建新,孙纬,马超.基于改进粒子群算法的无人机三维路径规划[J/OL].电光与控制:1-10

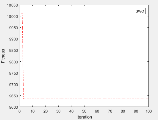
三、SWO求解无人机路径规划

close all
clear
clc
dbstop if all error
warning ('off')


global model
model = CreateModel(); % 创建模型
F='F1';
[Xmin,Xmax,dim,fobj] = fun_info(F);%获取函数信息
pop=100;%种群大小(可以自己修改)
maxgen=100

求解结果:

四、参考代码


创作时间: