单目标工程应用:白鲸优化算法(Beluga whale optimization,BWO)求解三个工程应用

作品简介

一、白鲸优化算法原理

白鲸优化算法(Beluga whale optimization,BWO)原理参考如下:

单目标应用:白鲸优化算法(Beluga whale optimization,BWO)

二、白鲨优化算法求解三个工程应用

%三个工程应用
%1 Welded Beam Design (WBD)
%2 Compression Spring Design (CSD)
%3 Pressure Vessel Design (PVD)
close all
clear 
clc
%% % Prepare the problem
Fun_name=1; % 1-3
[lb,ub,dim]=benchmark_functions_details(Fun_name); % Object function information
fobj=@(x)benchmark_functions(x,Fun_name,dim);
searchAgents =100;
maxIter = 100;
[gbest,fitness,ccurve]=BWO(searchAgents,maxIter,lb,ub,dim,fobj);


2.1Welded Beam Design (WBD)

求解结果:


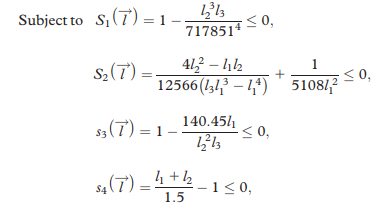
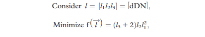
2.2Compression Spring Design (CSD)

求解结果:


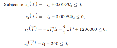
2.3Pressure Vessel Design (PVD)

求解结果:

3、参考代码

文件夹内包含三个工程应用的完整代码及参考文献,点击main.m即可运行。



创作时间: