1.软件版本
matlab2022a
2.运行方法
使用matlab2022a或者高版本仿真,运行文件夹中的tops.m或者main.m。运行时注意matlab左侧的当前文件夹窗口必须是当前工程所在路径。具体操作观看提供的程序操作视频跟着操作。视频播放使用windows media player播放。
3.部分仿真截图




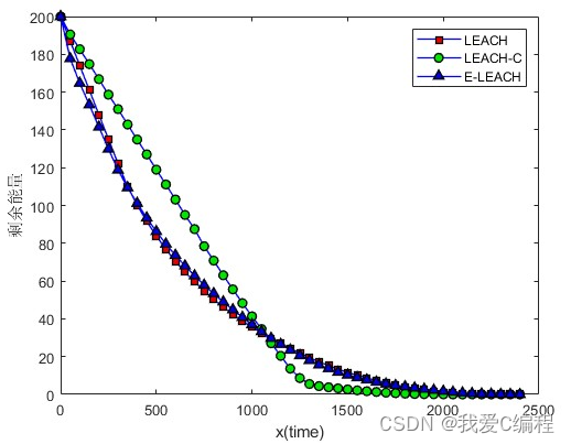
4.内容简介
LEACH协议,全称是“低功耗自适应集簇分层型协议” (Low Energy Adaptive Clustering Hierarchy),是一种无线传感器网络路由协议。基于LEACH协议的算法,称为LEACH算法。LEACH算法是一种无线传感器网络路由协议,来源于Wendi Rabiner Heinzelman, Anantha Chandrakasan, 和Hari Balakrishnan三人在2000年Proceedings of the 33rd Hawaii International Conference on System Sciences上的一篇文章Energy-Efficient Communication Protocol for Wireless Microsensor Networks。 该算法基本思想是:以循环的方式随机选择簇头节点,将整个网络的能量负载平均分配到每个传感器节点中,从而达到降低网络能源消耗、提高网络整体生存时间的目的。仿真表明,与一般的平面多跳路由协议和静态分层算法相比,LEACH分簇协议可以将网络生命周期延长15%。