多目标优化算法:基于非支配排序的霸王龙优化算法(NSTROA)MATLAB

作品简介

一、霸王龙优化算法

霸王龙优化算法(Tyrannosaurus optimization,TROA)由Venkata Satya Durga Manohar Sahu等人于2023年提出,该算法模拟霸王龙的狩猎行为,具有搜索速度快等优势。

参考文献:Venkata Satya Durga Manohar Sahu, Padarbinda Samal, Chinmoy Kumar Panigrahi,”Tyrannosaurus optimization algorithm: A new nature-inspired meta-heuristic algorithm for solving optimal control problems”,e-Prime - Advances in Electrical Engineering, Electronics and Energy,Volume 5,2023,100243,ISSN 2772-6711,https://doi.org/10.1016/j.prime.2023.100243.

二、基于非支配排序的霸王龙优化算法NSTROA

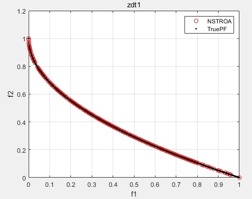
基于非支配排序的霸王龙优化算法(Non-Dominated Tyrannosaurus optimization,NSTROA)由霸王龙优化算法与非支配排序策略结合而成。将NSTROA用于求解46个多目标测试函数(ZDT1、ZDT2、ZDT3、ZDT4、ZDT6、DTLZ1-DTLZ7、WFG1-WFG10、UF1-UF10、CF1-CF10、Kursawe、Poloni、Viennet2、Viennet3)以及1个工程应用(盘式制动器设计),并采用IGD、GD、HV、SP进行评价。

(1)部分代码

close all;
clear ; 
clc;
%%
% TestProblem测试问题说明:
%一共46个多目标测试函数,详情如下:
%1-5:ZDT1、ZDT2、ZDT3、ZDT4、ZDT6
%6-12:DZDT1-DZDT7
%13-22:wfg1-wfg10
%23-32:uf1-uf10
%33-42:cf1-cf10
%43-46:Kursawe、Poloni、Viennet2、Viennet3
%47 盘式制动器设计 温泽宇,谢珺,谢刚,续欣莹.基于新型拥挤度距离的多目标麻雀搜索算法[J].计算机工程与应用,2021,57(22):102-109.
%%
TestProblem=1;%1-47
MultiObj = GetFunInfo(TestProblem);
MultiObjFnc=MultiObj.name;%问题名
% Parameters
params.Np = 100;        % Population size
params.Nr = 200;        % Repository size
params.maxgen =100;    % Maximum number of generations
numOfObj=MultiObj.numOfObj;%目标函数个数
D=MultiObj.nVar;%维度
f = NSTROA(params,MultiObj);
X=f(:,1:D);%PS
Obtained_Pareto=f(:,D+1:D+numOfObj);%PF
if(isfield(MultiObj,'truePF'))%判断是否有参考的PF
True_Pareto=MultiObj.truePF;
%%  Metric Value
% ResultData的值分别是IGD、GD、HV、Spacing  (HV越大越好,其他指标越小越好)
ResultData=[IGD(Obtained_Pareto,True_Pareto),GD(Obtained_Pareto,True_Pareto),HV(Obtained_Pareto,True_Pareto),Spacing(Obtained_Pareto)];
else
    %计算每个算法的Spacing,Spacing越小说明解集分布越均匀
    ResultData=Spacing(Obtained_Pareto);%计算的Spacing
end
%%
disp('Repository fitness values are stored in Obtained_Pareto');
disp('Repository particles positions are store in X');

(2)部分结果

三、完整MATLAB代码

文件夹内包含NSTROA求解46个多目标测试函数(ZDT1、ZDT2、ZDT3、ZDT4、ZDT6、DTLZ1-DTLZ7、WFG1-WFG10、UF1-UF10、CF1-CF10、Kursawe、Poloni、Viennet2、Viennet3)以及1个工程应用(盘式制动器设计)的全部MATLAB代码,同时提供评价指标IGD、GD、HV和SP的完整程序,点击Main.m即可运行。



创作时间: