基于城市场景下RRT、ACO、A*算法的无人机三维路径规划,MATLAB代码

作品简介

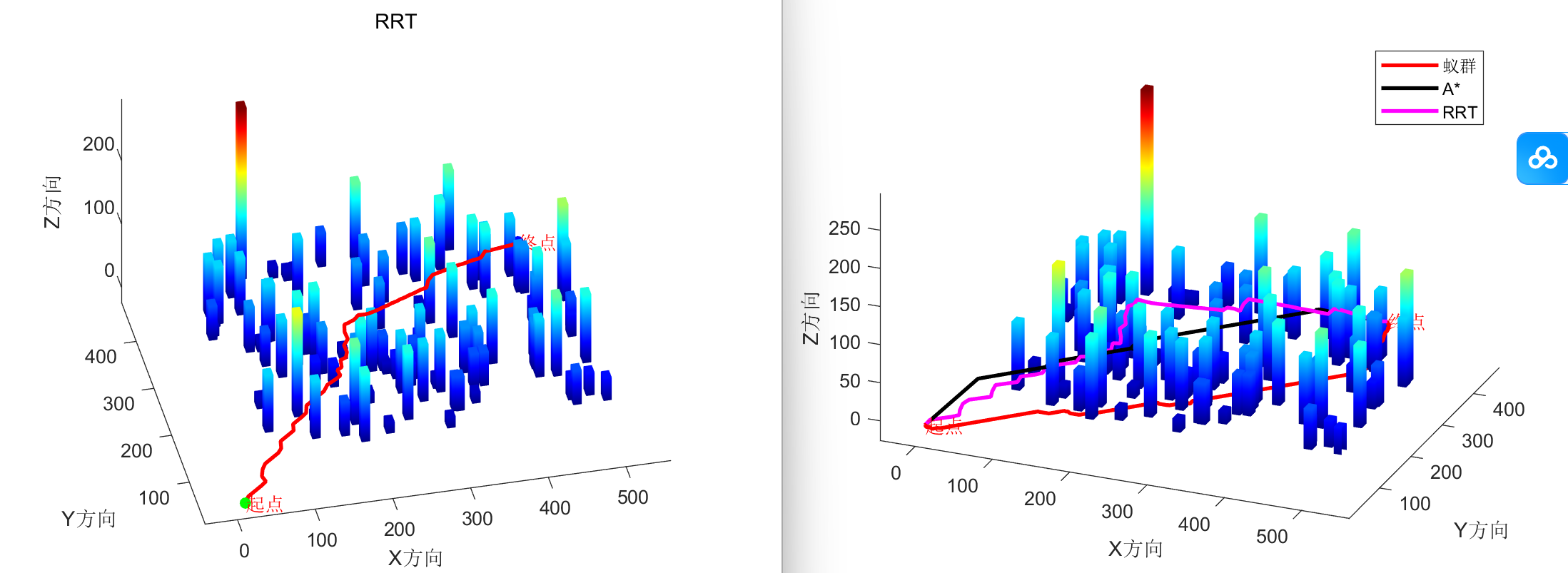
在城市场景下,无人机三维路径规划是一个复杂的问题,需要考虑高楼、障碍物、飞行安全和效率等因素。以下是RRT、ACO和A*算法在无人机三维路径规划中介绍:

RRT(快速扩展随机树)算法

  • RRT算法以其高效性和灵活性,在复杂的城市环境中进行无人机三维路径规划。
  • 环境适应能力强,适用于复杂多变的三维环境。
  • 搜索速度快,通过随机采样和节点扩展,快速构建搜索树。
  • 路径平滑性需要优化,生成的路径可能包含较多冗余节点和急转弯。
  • 实验结果表明,RRT算法生成的路径长度较长,但计算时间最短。

ACO(蚁群优化)算法

  • ACO算法通过模拟自然界中蚂蚁寻找食物路径的行为,用于无人机三维路径规划。
  • 该算法具有强大的寻优能力和快速的收敛速度。
  • 实验结果表明,ACO算法在路径长度和计算时间上介于A*算法和RRT算法之间。
  • ACO算法生成的路径相对平滑。

A*算法

  • A*算法是一种启发式搜索算法,用于在城市建筑物和障碍物的约束下,生成满足安全性和效率要求的三维航迹。
  • 实验结果表明,A*算法生成的路径通常最短,但计算时间相对较长。
  • A*算法和蚂蚁算法生成的路径相对平滑。
figure(4)
plot3DMap(map);
text(source(1),source(2),source(3),'起点','color','r');
text(goal(1),goal(2),goal(3),'终点','color','r');
h1 = plot3(aco_path(:,1),aco_path(:,2),aco_path(:,3),'LineWidth',2,'color','r');
h2 = plot3(astar_path(:,1),astar_path(:,2),astar_path(:,3),'LineWidth',2,'color','k');
h3 = plot3(rrt_path(:,1),rrt_path(:,2),rrt_path(:,3),'LineWidth',2,'color','m');
legend([h1,h2,h3],'蚁群','A*','RRT')
%legend("boxoff")
view(-30,30);

部分结果:


完整MATLAB代码:


创作时间:2024-12-17 20:39:53