多目标优化算法:多目标圆圈搜索算法(Multi-Objective Circle Search Algorithm)

作品简介

一、圆圈搜索算法简介

圆圈搜索算法(Circle Search Algorithm,CSA)由Mohammed H. Qais等人于2022年提出,该算法由圆上正切关系启发所得,思路新颖,简单高效。

由上述圆可得到如下数量关系:

二、圆圈搜索算法原理

根据圆周上正切关系启发,CSA更新公式如下:

其中,角度 θ 在CSA的勘探和开发中起着重要作用,其计算公式如下:

三、圆圈搜索算法流程

四、多目标圆圈搜索算法

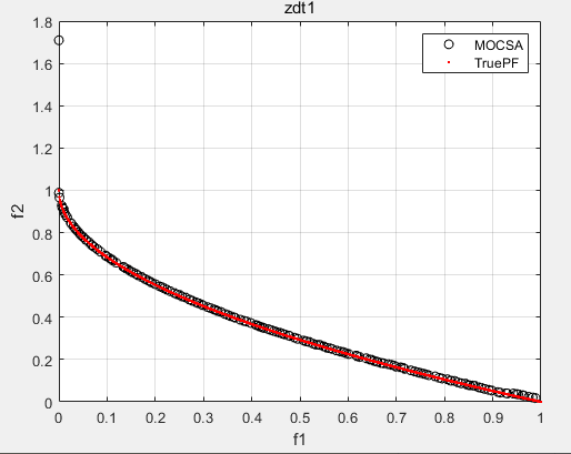
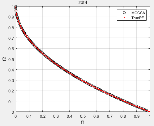
多目标圆圈搜索算法(Multi-Objective Circle Search Algorithm,MOCSA)由圆圈搜索算法的优良策略与多目标优化思想融合而成。为了验证所提的MOCSA的有效性,将其在46个多目标测试函数(ZDT1、ZDT2、ZDT3、ZDT4、ZDT6、DTLZ1-DTLZ7、WFG1-WFG10、UF1-UF10、CF1-CF10、Kursawe、Poloni、Viennet2、Viennet3)以及1个工程应用(盘式制动器设计)上实验,并采用IGD、GD、HV、SP进行指标评价。部分结果如下:

ZDT1:

ZDT3:

ZDT4:

DTLZ5:

盘式制动器设计:

五、完整代码

文件夹内包含MOCSA所有MATLAB代码(46个多目标标准测试函数+1个工程应用+4种评价指标),直接点击main.m即可运行。



创作时间: