多目标优化算法:多目标白鲸优化算法MOBWO

作品简介

一、算法简介

白鲸优化算法(Beluga whale optimization,BWO)由Changting Zhong等人于2022年提出,该算法模拟了白鲸游泳,觅食和“鲸鱼坠落”行为。

白鲸是高度社会化的动物,它们可以聚集在2到25名成员的群体中,平均有10名成员。白鲸是杂食性的,包括但不限于虾,蠕虫,鳕鱼,鳟鱼和鲑鱼。当夏天来临时,许多生物聚集在一些河口,所以鲸鱼聚集在一起吃东西。白鲸通常通过吸力将猎物带入嘴里,因为牙齿不锋利。有时,白鲸与协调小组通过引导鱼进入浅水来攻击和喂养鱼。此外,白鲸在夏季受到虎鲸,北极熊和人类的威胁,因为河口的人口密度很高。一些鲸鱼在迁徙过程中可能会死亡并落入深海,这被称为“鲸鱼坠落”,为大量没有阳光和氧气的生物提供充足的食物。

二、算法原理

白鲸优化算法包含三个阶段:游泳(全局勘探),觅食(局部开发)和“鲸鱼坠落”。

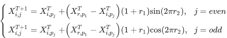
2.1全局勘探

该阶段是模拟白鲸的游泳行为,根据位置的奇偶数采用不同的位置更新,其数学模型如下:

2.2局部开发

该阶段是模拟白鲸的捕食行为,当前白鲸可以根据其周围白鲸的位置移动和合作觅食。因此,白鲸通过相互共享位置信息来捕食,从而引入最佳位置和其他位置,其数学模型如下:

其中:

2.3鲸鱼坠落

在迁徙和觅食期间,白鲸受到虎鲸,北极熊和人类的威胁。大多数白鲸都很聪明,可以通过彼此分享信息来逃避威胁。然而,少数白鲸没有幸存下来并落入深海海底,被其他生物所食,这种现象被称为“鲸鱼坠落”。

其中:

三、算法描述及流程

3.1算法描述

3.2算法流程

四、多目标白鲸优化算法

多目标白鲸优化算法Multiple Objective Beluga Whale OptimizationMOBWO)由白鲸优化算法的优良策略与多目标优化思想融合而成。为了验证所提的MOBWO的有效性,将其在9个多目标测试函数(ZDT1、ZDT2、ZDT3、ZDT4、ZDT6、Kursawe、Poloni、Viennet2、Viennet3)以及1个工程应用(盘式制动器设计)上实验,并采用IGD、GD、HV、SP进行指标评价。

Kursawe:

Viennet3:

盘式制动器设计:

五、参考代码

文件夹内包含所有代码,可以直接点击main.m运行。


创作时间: