一、求解思路
单目标应用:基于麻雀搜索算法优化小波神经网络的偏微分方程求解(提供MATLAB代码)_IT猿手的博客-CSDN博客
二、求解结果
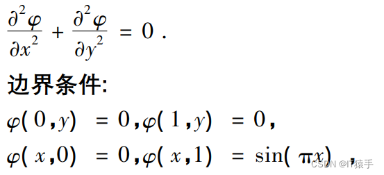
求解定义在[0,1]x[0,1]的如下偏微分方程:
真实值与预测值:
真实值与预测值的绝对误差(MAE):
三、参考代码
文件夹中包含所有代码,点击main.m即可运行,同时提供使用说明。
单目标应用:基于麻雀搜索算法优化小波神经网络的偏微分方程求解(提供MATLAB代码)_IT猿手的博客-CSDN博客
求解定义在[0,1]x[0,1]的如下偏微分方程:
真实值与预测值:
真实值与预测值的绝对误差(MAE):
文件夹中包含所有代码,点击main.m即可运行,同时提供使用说明。