多目标优化算法:非支配金枪鱼优化算法NSTSO

作品简介

一、金枪鱼优化算法TSO

金枪鱼优化算法(TSO)的原理参考博客:金枪鱼优化算法

二、非支配金枪鱼优化算法NSTSO

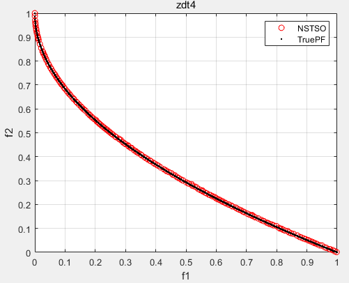
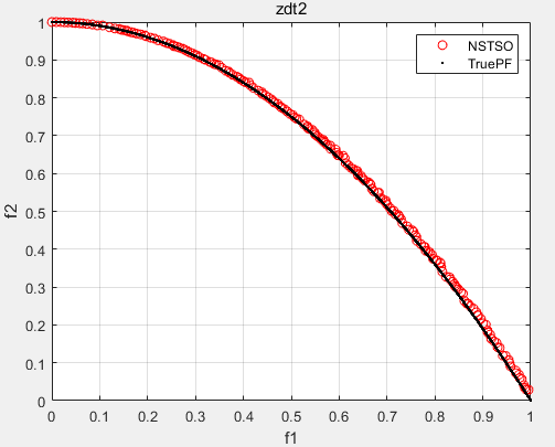
将非支配金枪鱼优化算法(NSTSO)用于求解46个多目标测试函数(ZDT1、ZDT2、ZDT3、ZDT4、ZDT6、DTLZ1-DTLZ7、WFG1-WFG10、UF1-UF10、CF1-CF10、Kursawe、Poloni、Viennet2、Viennet3)以及个工程应用(盘式制动器设计),并采用IGD、GD、HV、SP进行评价。

部分实验结果:

ZDT1:

ZDT2:

ZDT3:

ZDT4:

盘式制动器设计:

三、参考代码

源文件夹包含所有代码,以及非支配原理的参考文献,代码均能运行。


创作时间: