多目标优化算法:多目标黄金搜索优化算法MOGSO

作品简介

一、算法简介

黄金搜索优化算法(Golden Search Optimization Algorithm,GSO)由MOHAMMAD NOROOZI等人于2022年提出,该算法原理简单,快捷高效。

二、算法描述

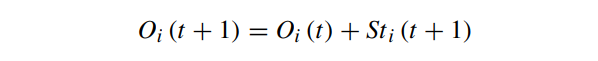
黄金搜索优化算法与粒子群优化算法极其相似,类似于改进型粒子群优化算法。其更新公式如下:

步长更新公式:

其中T的更新如下:

位置更新公式:

GSO算法流程图:

三、多目标黄金搜索优化算法MOGSO

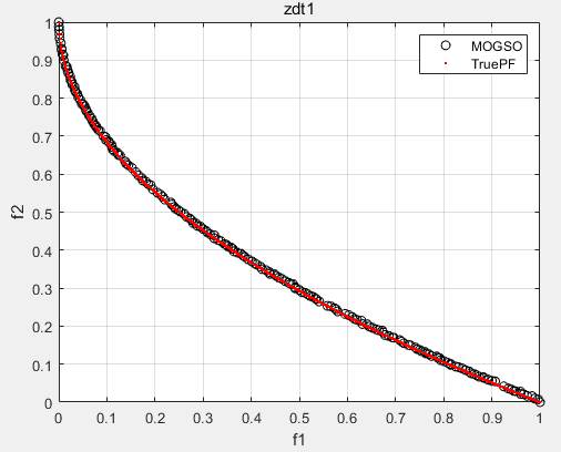
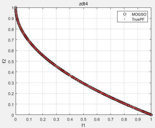
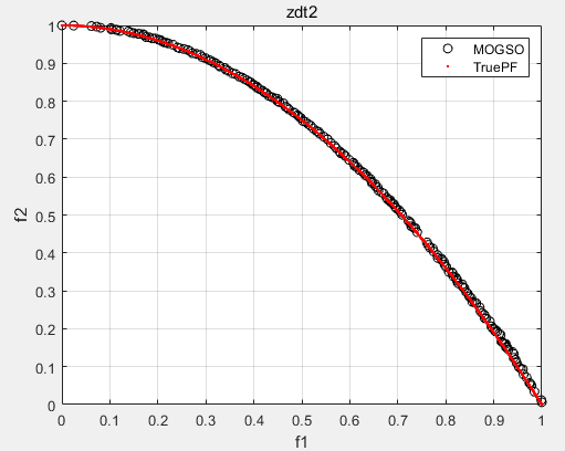
由于GSO与PSO极其相似,借鉴MOPSO的思想,提出多目标黄金搜索优化算法(Multiple Objective Golden Search Optimization Algorithm,MOGSO)。为了验证所提MOGSO的有效性,将其在46个多目标测试函数(ZDT1、ZDT2、ZDT3、ZDT4、ZDT6、DTLZ1-DTLZ7、WFG1-WFG10、UF1-UF10、CF1-CF10、Kursawe、Poloni、Viennet2、Viennet3)以及个工程应用(盘式制动器设计)上实验,并采用IGD、GD、HV、SP进行评价。

部分结果如下:

ZDT1:

ZDT2:

ZDT3:

ZDT4:

Viennet3:

盘式制动器设计:

四、参考代码

文件夹包含26个多目标测试函数+1个工程应用+4种评价指标。代码可以直接运行,提供GSO文献。


创作时间: