一、算法简介
沙猫群优化算法(Sand Cat swarm optimization,SCSO)由Amir Seyyedabbasi与Farzad Kiani于2022年提出。该算法模拟了沙猫狩猎行为,思路新颖,简单高效。
沙猫是一种小个头的猫科动物,体长不过45-57cm。沙猫的腿短,头宽,还有一对大得夸张的耳朵。这对耳朵长在头部比较低的位置,在无甚遮掩的沙漠地带潜伏的时候,它们只要稍微用一点劲儿,就能把耳朵轻松放平到和头顶一样的高度,它们的毛发不算长,但十分浓密,厚实的皮毛为它们抵挡住了夜间沙漠的刺骨寒冷。沙猫的体色多为浅沙黄色或浅灰色,它们背部的颜色稍深,腹部则偏白,背上和四肢外侧都有一些横向的深色条纹或斑点。它们的尾巴较长,超过身长的一半,尾巴上也环绕着一些深色条纹。沙猫的头骨很宽,眼睛颇大,两颊各有一道深色条纹飞入眼角,它们的鼻骨较长,鼻子比较大,这不仅使它们嗅觉灵敏,据说还有助于锁住水份,沙猫的爪子和肉垫上还覆盖着长达两厘米的长毛,这样白天沙漠里滚烫的沙子就不会烫到它们的爪子了。
二、SCSO算法原理
沙猫群优化(SCSO)算法的灵感来自自然界中的沙猫行为,即寻找猎物和攻击猎物。沙猫的特殊功能,即检测低频噪声的能力,可以帮助其定位无论是在地面上还是在地下的猎物。算法包含两个阶段:
2.1全局勘探(搜索猎物)
2.2局部开采(攻击猎物)

三、SCSO算法流程
四、MOSCSO
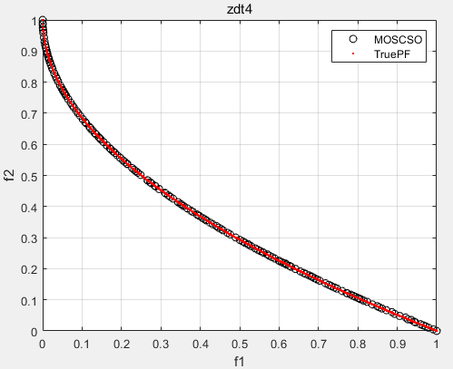
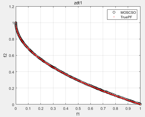
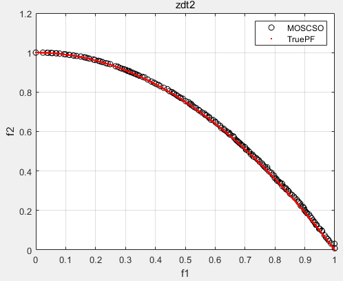
将所提的MOSCSO在46个多目标测试函数(ZDT1、ZDT2、ZDT3、ZDT4、ZDT6、DTLZ1-DTLZ7、WFG1-WFG10、UF1-UF10、CF1-CF10、Kursawe、Poloni、Viennet2、Viennet3)以及个工程应用(盘式制动器设计)上实验,并采用IGD、GD、HV、SP进行评价。
部分实验结果:
ZDT1:
ZDT2:
ZDT3:
ZDT4:
DTLZ6:
盘式制动器设计:
五、源代码
源文件夹包含MOSCSO的所有代码,包含46个多目标测试函数,1个工程应用(盘式制动器设计),4种评价指标(IGD,GD,HV,SP)。代码可以直接运行,支持二次开发,MOSCSO算法新颖,快速高效,大力推荐。