多目标优化算法:多目标倭黑猩猩优化算法MOBO

作品简介

一、多目标倭黑猩猩优化算法MOBO

多目标倭黑猩猩优化算法(Multi-objective Bonobo Optimizer,MOBO)由Amit Kumar Das等人于2020年提出。

MOBO算法描述:

二、数值实验

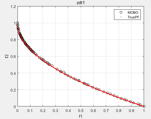
将MOBO在46个多目标测试函数(ZDT1、ZDT2、ZDT3、ZDT4、ZDT6、DTLZ1-DTLZ7、WFG1-WFG10、UF1-UF10、CF1-CF10、Kursawe、Poloni、Viennet2、Viennet3)以及1个工程应用(盘式制动器设计)上实验,并采用IGD、GD、HV、SP进行评价。

部分实验结果:

ZDT1:

ZDT2:

DTLZ5:

盘式制动器设计:

三、参考代码

文件夹内包含MOBO所有的代码,点击主函数即可运行。注明:该代码为参考文献中的MOBO2



创作时间: