多目标优化算法:非支配教学优化算法NSTLBO

作品简介

一、非支配教学优化算法NSTLBO

非支配教学优化算法(non-dominated sorting teaching–learning-based optimization algorithm,NSTLBO)由 R.Venkata Rao等人于2018年提出。

NSTLBO算法流程如下:

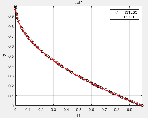
二、数值实验

将NSTLBO在46个多目标测试函数(ZDT1、ZDT2、ZDT3、ZDT4、ZDT6、DTLZ1-DTLZ7、WFG1-WFG10、UF1-UF10、CF1-CF10、Kursawe、Poloni、Viennet2、Viennet3)以及1个工程应用(盘式制动器设计)上实验,并采用IGD、GD、HV、SP进行评价

部分实验结果如下:

ZDT1:

ZDT2:

Viennet3:

盘式制动器设计:

三、参考代码

文件夹内包含NSTLBO所有源代码,并提供原文献,所有代码都能运行。代码点击main.m即可运行。


创作时间: