多目标优化算法:多目标金鹰优化算法MOGEO

作品简介

一、金鹰优化算法GEO

金鹰优化算法(Golden eagle optimizer,GEO)由Abdolkarim 等人于2020年提出,该算法模拟了金鹰狩猎行为,具有收敛速度快,寻优能力强的特点。

GEO原理参考博客:智能优化算法:金鹰优化算法-附代码_智能算法研学社(Jack旭)的博客-CSDN博客

二、多目标金鹰优化算法MOGEO

MOGEO原理参考文献: Mohammadi-Balani A , MD Nayeri, Azar A , et al. Golden Eagle Optimizer: A nature-inspired metaheuristic algorithm[J]. Computers & Industrial Engineering, 2020, 152:107050.

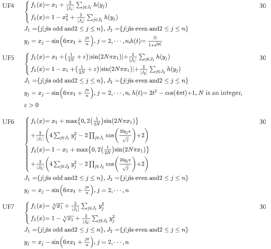
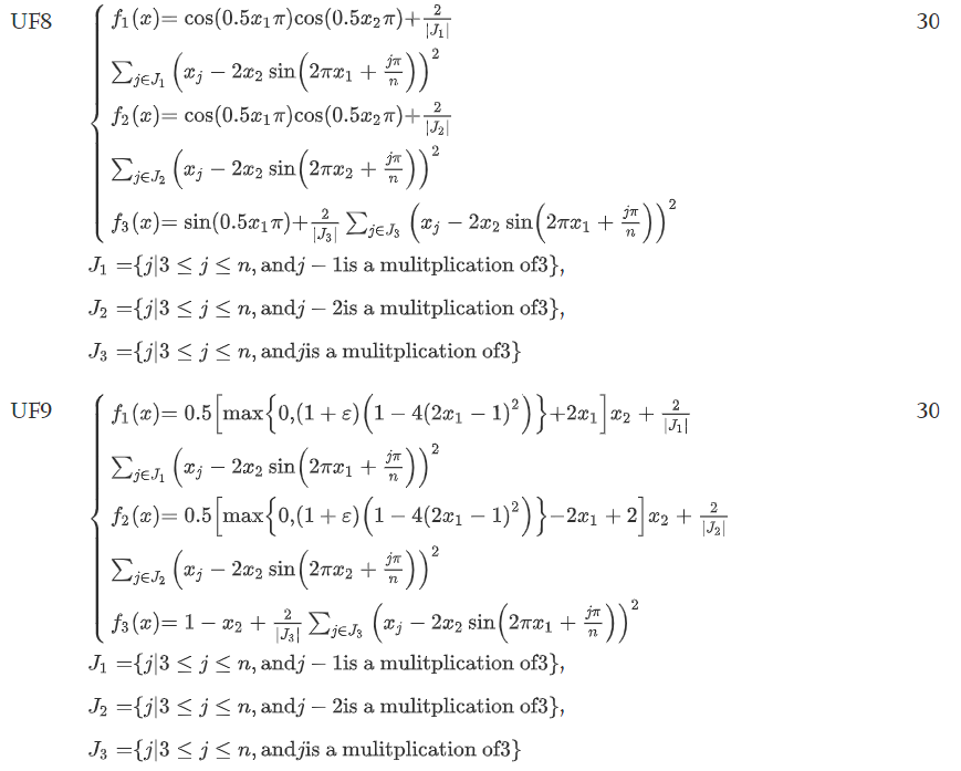
三、测试函数

参考文献: Zhang Q , Zhou A , Zhao S , et al. Multiobjective optimization Test Instances for the CEC 2009 Special Session and Competition[J]. Mechanical engineering (New York, N.Y.: 1919), 2008.

CEC2009中无约束多目标测试集(UF1-UF10)详情如下:

四、数值实验

MOGEO求解UF1-10,并利用IGD、GD、HV和SP对其评价,种群大小为100,最大迭代次数200。加大迭代次数和加大种群规模效果更佳。

部分实验结果:

4.1 UF2:

IGD:0.074401

GD:0.0059532

HV:0.63396

SP:0.0117

4.2 UF4:

IGD:0.090882

GD:0.0097464

HV:0.32406

SP:0.0084643

4.3 UF6:

IGD:0.50153

GD:0.082518

HV:0.044862

SP:0.019312

4.4 UF8:

IGD:0.30584

GD:0.0052096

HV:0.30763

SP:0.035375

4.5 UF10:

IGD:0.52521

GD:0.18792

HV:0.0026319

SP:0.3134

4.6实验分析:

可以看出MOGEO在多目标问题测试集UF上求解效率较低,改进空间很大。

五、参考代码

源代码中包含MOGEO求解UF1-10所有代码,可以直接运行,并提供MOGEO参考文献。


创作时间: