多目标工程应用:基于MOGWO的地铁隧道上方基坑工程优化设计

作品简介

一、多目标灰狼优化算法 MOGWO

MOGWO算法原理参考:Mirjalili S , Saremi S , Mirjalili S M , et al. Multi-objective grey wolf optimizer: A novel algorithm for multi-criterion optimization[J]. Expert Systems with Applications, 2015, 47:106-119.

二、地铁隧道上方基坑工程优化设计

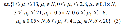
地铁隧道上方基坑工程优化设计的两个目标函数分别是:最小化隧道最大竖向位移最小化工程造价可变部分

参考文献:卜康正,赵勇,郑先昌.基于NSGA2遗传算法的地铁隧道上方基坑工程优化设计[J].铁道科学与工程学报,2021,18(02):459-467.DOI:10.19713/j.cnki.43-1423/u.T20200287.

三、数值实验

MOGWO求解隧道最大竖向位移工程造价可变部分,分别是f1f2

四、参考代码


创作时间: