多目标应用:多目标北方苍鹰优化算法优化神经网络

作品简介

一、多目标北方苍鹰优化算法

🍞多目标北方苍鹰优化算法(MONGO)原理

二、曲面逼近

BP神经网络结构如下图所示:

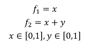
待逼近曲面为平面f1与平面f2构成:

其图如下所示:

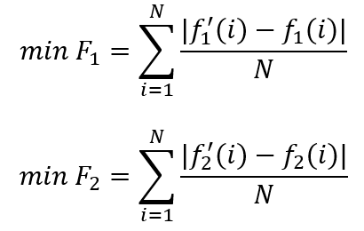
将x,y作为BP神经网络的输出,构建网络结构为2-15-2的BP神经网络,激活函数为tanh。BP神经网络的输出值为待逼近曲面的预测值。通过BP神经网络的预测值与真实值建立两个目标函数F1与F2,其分别表示平均绝对误差(MAE),N为样本总数。通过MONGO优化BP神经网络的权值和阈值使如下两个目标函数最小。

三、数值实验

最终得到ParetoFront(F1与F2)如下图所示:

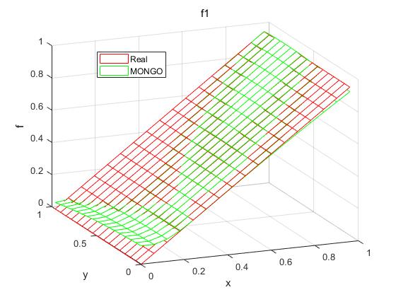
选取平均误差较小的一个解作为最终的拟合值。其逼近结果如下:

红色曲面为真实曲面,绿色曲面为逼近曲面。由此可以看出逼近效果非常不错,虽然由小幅波动,但是最终的MAE很小,加大迭代次数效果更佳。

四、参考代码


创作时间: